全球化学品在线数据库

Miraxid
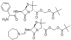
[CAS 98445-47-7]

供应商
CAS#: 98445-47-7
产品: Miraxid
暂时没有厂家供应该产品。
基本信息
产品名称 Miraxid
英文名 Miraxid
别名 2,2-Dimethylpropanoyloxymethyl (2S,5R,6R)-6-[(2-Amino-2-Phenyl-Acetyl)Amino]-3,3-Dimethyl-7-Oxo-4-Thia-1-Azabicyclo[3.2.0]Heptane-2-Carboxylate; 2,2-Dimethylpropanoyloxymethyl (2S,5R,6R)-6-(Azepan-1-Ylmethyleneamino)-3,3-Dimethyl-7-Oxo-4-Thia-1-Azabicyclo
分子结构 CAS 登录号:98445-47-7, Miraxid
分子式 C43H62N6O11S2
分子量 903.12
CAS 登录号 98445-47-7
分子行输入简码 SMILES [C@H]12SC([C@@H](N1C(=O)[C@H]2NC(=O)C(N)C3=CC=CC=C3)C(OCOC(=O)C(C)(C)C)=O)(C)C.[C@H]45SC([C@@H](N4C(=O)[C@H]5N=CN6CCCCCC6)C(OCOC(=O)C(C)(C)C)=O)(C)C
国际化学标识码 InChI 1S/C22H29N3O6S.C21H33N3O5S/c1-21(2,3)20(29)31-11-30-19(28)15-22(4,5)32-18-14(17(27)25(15)18)24-16(26)13(23)12-9-7-6-8-10-12;1-20(2,3)19(27)29-13-28-18(26)15-21(4,5)30-17-14(16(25)24(15)17)22-12-23-10-8-6-7-9-11-23/h6-10,13-15,18H,11,23H2,1-5H3,(H,24,26);1
国际化学标识检索码 InChIKey OWPUISNKTHIHSM-HJRDKPTPSA-N
物理化学性质
沸点 679°C at 760 mmHg (计算值)
闪点 364.5°C (计算值)
市场分析报告
相关产品
米帕明; 丙米嗪  咪匹马唑  米普拉苷  锰氢氧化物氧化物  米屈肼; 3-(2,2,2-三...  米屈肼(二水合物); 3-(2...  米曲菌碱性蛋白酶  Mirabijalone D  Miranol FBS  Miranol MHT  迷人醇  咪瑞司他  米瑞他匹; 4-[4-[4-[...  咪噻吩  Misakinolide A  米色罗毒素  米什莱恩A  锰十二烷基硫酸酯盐  米氏酸-13C  锰四(2,6-二氯苯基)卟啉氯...