全球化学品在线数据库

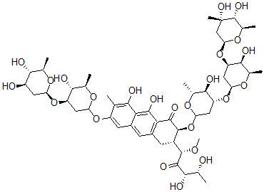
米拉霉素 A
[CAS 97666-60-9]

供应商
CAS#: 97666-60-9
产品: 米拉霉素 A
暂时没有厂家供应该产品。
基本信息
产品名称 米拉霉素 A
英文名 Mithramycin A
别名 (2S,3S)-2-[(2S,4R,5R,6R)-4-[(2S,4R,5S,6R)-4-[(2S,4S,5R,6R)-4,5-Dihydroxy-4,6-Dimethyl-Tetrahydropyran-2-Yl]Oxy-5-Hydroxy-6-Methyl-Tetrahydropyran-2-Yl]Oxy-5-Hydroxy-6-Methyl-Tetrahydropyran-2-Yl]Oxy-3-[(1S,3S,4R)-3,4-Dihydroxy-1-Methoxy-2-Oxo-Pentyl]-6-[(
分子结构 CAS 登录号:97666-60-9, 米拉霉素 A
分子式 C52H76O24
分子量 1085.16
CAS 登录号 97666-60-9
分子行输入简码 SMILES [C@@H]1([C@@H](C(C2=C(C1)C=C3C(=C2O)C(=C(C(=C3)O[C@@H]4O[C@@H]([C@@H](O)[C@@H](C4)O[C@@H]5O[C@H](C)[C@H]([C@@H](C5)O)O)C)C)O)=O)O[C@@H]6O[C@@H]([C@@H](O)[C@@H](C6)O[C@@H]7O[C@@H]([C@H](O)[C@@H](C7)O[C@H]8C[C@@](O)(C)[C@@H]([C@H](O8)C)O)C)C)[C@@H](C([C@H](
国际化学标识码 InChI 1S/C52H76O24/c1-18-29(72-34-14-30(43(58)21(4)68-34)73-33-13-28(54)42(57)20(3)67-33)12-26-10-25-11-27(49(66-9)48(63)41(56)19(2)53)50(47(62)39(25)46(61)38(26)40(18)55)76-36-16-31(44(59)23(6)70-36)74-35-15-32(45(60)22(5)69-35)75-37-17-52(8,65)51(64)24(7)71-3
国际化学标识检索码 InChIKey CFCUWKMKBJTWLW-BKHRDMLASA-N
市场分析报告
相关产品
米拉贝隆  米拉贝隆N-氨基甲酰葡糖苷酸  米拉贝隆N-葡糖苷酸  米拉贝隆O-葡糖苷酸  米拉贝隆杂质 B  米拉贝隆杂质 D  米拉贝隆杂质2  米拉贝隆杂质33  米拉贝隆杂质34  米拉醋胺  Milanjilactone ...  Milataxel  米乐甾酮 A  锰磷化物  锰磷化物  米林霉素  米林霉素盐酸盐  米力农; 2-甲基-6-氧-1...  米林酸 17-O-beta-D...  米利哌汀