全球化学品在线数据库

1-[[4-[[4-[二[2-羟基-3-[4-[1-甲基-1-[4-(环氧乙烷-2-基甲氧基)苯基]乙基]苯氧基]丙基]氨基]苯基]甲基]苯基]-[2-羟基-3-[4-[1-甲基-1-[4-(环氧乙烷-2-基甲氧基)苯基]乙基]苯氧基]丙基]氨基]-3-[4-[1-甲基-1-[4-(环氧乙烷-2-基甲氧基)苯基]乙基]苯氧基]丙-2-醇
[CAS 97552-64-2]

供应商
CAS#: 97552-64-2
产品: 1-[[4-[[4-[二[2-羟基-3-[4-[1-甲基-1-[4-(环氧乙烷-2-基甲氧基)苯基]乙基]苯氧基]丙基]氨基]苯基]甲基]苯基]-[2-羟基-3-[4-[1-甲基-1-[4-(环氧乙烷-2-基甲氧基)苯基]乙基]苯氧基]丙基]氨基]-3-[4-[1-甲基-1-[4-(环氧乙烷-2-基甲氧基)苯基]乙基]苯氧基]丙-2-醇
暂时没有厂家供应该产品。
基本信息
产品名称 1-[[4-[[4-[二[2-羟基-3-[4-[1-甲基-1-[4-(环氧乙烷-2-基甲氧基)苯基]乙基]苯氧基]丙基]氨基]苯基]甲基]苯基]-[2-羟基-3-[4-[1-甲基-1-[4-(环氧乙烷-2-基甲氧基)苯基]乙基]苯氧基]丙基]氨基]-3-[4-[1-甲基-1-[4-(环氧乙烷-2-基甲氧基)苯基]乙基]苯氧基]丙-2-醇
英文名 1-[[4-[[4-[bis[2-hydroxy-3-[4-[1-methyl-1-[4-(oxiran-2-ylmethoxy)phenyl]ethyl]phenoxy]propyl]amino]phenyl]methyl]phenyl]-[2-hydroxy-3-[4-[1-methyl-1-[4-(oxiran-2-ylmethoxy)phenyl]ethyl]phenoxy]propyl]amino]-3-[4-[1-methyl-1-[4-(oxiran-2-ylmethoxy)phenyl]ethyl]phenoxy]propan-2-ol
别名 1,1',1'',1'''-[methylenebis(p-phenylenenitrilo)]tetrakis[3-[4-[1-methyl-1-[4-(oxiranylmethoxy)phenyl]ethyl]phenoxy]propan-2-ol]
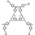
分子结构 CAS 登录号:97552-64-2, 1-[[4-[[4-[二[2-羟基-3-[4-[1-甲基-1-[4-(环氧乙烷-2-基甲氧基)苯基]乙基]苯氧基]丙基]氨基]苯基]甲基]苯基]-[2-羟基-3-[4-[1-甲基-1-[4-(环氧乙烷-2-基甲氧基)苯基]乙基]苯氧基]丙基]氨基]-3-[4-[1-甲基-1-[4-(环氧乙烷-2-基甲氧基)苯基]乙基]苯氧基]丙-2-醇
分子式 C97H110N2O16
分子量 1559.92
CAS 登录号 97552-64-2
EINECS 登录号 307-117-9
分子行输入简码 SMILES CC(C)(c1ccc(cc1)OCC(O)CN(CC(O)COc2ccc(cc2)C(C)(C)c3ccc(cc3)OCC4CO4)c5ccc(cc5)Cc6ccc(cc6)N(CC(O)COc7ccc(cc7)C(C)(C)c9ccc(OCC8CO8)cc9)CC(O)COc%10ccc(cc%10)C(C)(C)c%12ccc(OCC%11CO%11)cc%12)c%14ccc(OCC%13CO%13)cc%14
国际化学标识码 InChI 1S/C97H110N2O16/c1-94(2,72-21-41-86(42-22-72)108-58-90-62-112-90)68-13-33-82(34-14-68)104-54-78(100)50-98(51-79(101)55-105-83-35-15-69(16-36-83)95(3,4)73-23-43-87(44-24-73)109-59-91-63-113-91)76-29-9-66(10-30-76)49-67-11-31-77(32-12-67)99(52-80(102)56-106-84-37-17-70(18-38-84)96(5,6)74-25-45-88(46-26-74)110-60-92-64-114-92)53-81(103)57-107-85-39-19-71(20-40-85)97(7,8)75-27-47-89(48-28-75)111-61-93-65-115-93/h9-48,78-81,90-93,100-103H,49-65H2,1-8H3
国际化学标识检索码 InChIKey WIMBSVAMVGTRRO-UHFFFAOYSA-N
物理化学性质
密度 1.226g/cm3 (计算值)
市场分析报告
相关产品
二[2-环己基-3-[[4-(...  二[2-甲氧基-5-[(苯基甲...  二[2-甲氧基乙基汞(II)]...  二[2-氯-1-(氯甲基)乙基...  二[2-氯-5-(三氟甲基)苯...  二[2-氯-5-[(2-羟基-...  二[2-氯-6-[(2-羟基-...  二[2-氯-6-[(2-羟基-...  1-[6-[二[2-羟基-3-...  二[2-羟基-3-[4-(环氧...  二[2-羟基-5-硝基-3-[...  二[2-羟基丙烷-1,2,3-...  二[2-羟基-N-(2-羟基乙...  二[2-羟基-N-(2-羟基乙...  二[2-羟基-N-(2-羟基乙...  二[2-羟基-N-(2-羟基乙...  二[2-羟基-N-(2-羟基乙...  二[2-羟基-N,N-二(2-...  二[2-羟基-N,N-二(2-...  二[2-羟基-N,N-二(2-...