全球化学品在线数据库

Nbd-Nystatin
[CAS 96475-98-8]

供应商
CAS#: 96475-98-8
产品: Nbd-Nystatin
暂时没有厂家供应该产品。
基本信息
产品名称 Nbd-Nystatin
英文名 Nbd-Nystatin
别名 33-[3,5-Dihydroxy-6-Methyl-4-[6-[Methyl-(4-Nitro-2,1,3-Benzoxadiazol-7-Yl)Amino]Hexanoylamino]Oxan-2-Yl]Oxy-1,3,4,7,9,11,17,37-Octahydroxy-15,16,18-Trimethyl-13-Oxo-14,39-Dioxabicyclo[33.3.1]Nonatriaconta-19,21,25,27,29,31-Hexaene-36-Carboxylic Acid; (19E,
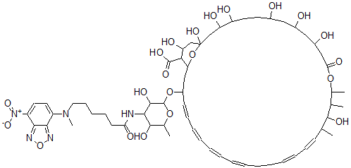
分子结构 CAS 登录号:96475-98-8, Nbd-Nystatin
分子式 C60H89N5O21
分子量 1216.38
CAS 登录号 96475-98-8
分子行输入简码 SMILES C5=C(N(CCCCCC(=O)NC3C(O)C(OC\2CC1OC(O)(CC(O)C1C(O)=O)CC(O)C(O)CCC(O)CC(O)CC(O)CC(OC(C(C(O)C(C)\C=C/C=C\CC/C=C\C=C/C=C\C=C2)C)C)=O)OC(C3O)C)C)C4=NON=C4C(=C5)[N+]([O-])=O
国际化学标识码 InChI 1S/C60H89N5O21/c1-35-21-17-14-12-10-8-6-7-9-11-13-15-18-22-42(84-59-57(76)54(56(75)38(4)83-59)61-49(72)23-19-16-20-28-64(5)43-25-26-44(65(80)81)53-52(43)62-86-63-53)32-48-51(58(77)78)47(71)34-60(79,85-48)33-46(70)45(69)27-24-39(66)29-40(67)30-41(68)31-50(
国际化学标识检索码 InChIKey OKYQKILEXSAXGT-OGYJJJSQSA-N
市场分析报告
相关产品
钠乙酸钠  钠乙酰丙酸酯  钠乙酰化玻尿酸酯  钠乙酰基硫酸盐  Nazartinib  钠质膨润土; 膨润土钠; 钠基...  Nazumamide A  NB-598 hydrochl...  NBD-556; N-(4-氯...  NBD-557; N-(4-溴...  N-Benzyloxycarb...  NBI 42902  N-Boc-b-nornico...  NCGC00244536  ND-646  N-Demethylloine  N-Desmethyl (-)...  N-Desmethyl Par...  NDT9513727  Nebrosamine