全球化学品在线数据库

N,N-二甲基-3-(4-甲基-1-哌嗪基)-1-丙胺
[CAS 90331-23-0]

供应商
深圳爱拓化学有限公司 中国
+86 13417589054/
info@atomaxchem.com,atomax.chemicals@gmail.com
QQ 交流
化学品生产商
Otava Ltd. 乌克兰
+380 (44) 522-2458
order@otavachemicals.com
化学品生产商(1997 年起)
基本信息
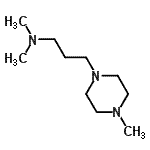
产品名称 N,N-二甲基-3-(4-甲基-1-哌嗪基)-1-丙胺
英文名 N,N-Dimethyl-3-(4-methyl-1-piperazinyl)-1-propanamine
别名 N,N-dimethyl-3-(4-methylpiperazin-1-yl)propan-1-amine
分子结构 CAS 登录号:90331-23-0, N,N-二甲基-3-(4-甲基-1-哌嗪基)-1-丙胺
分子式 C10H23N3
分子量 185.31
CAS 登录号 90331-23-0
分子行输入简码 SMILES CN(C)CCCN1CCN(C)CC1
国际化学标识码 InChI 1S/C10H23N3/c1-11(2)5-4-6-13-9-7-12(3)8-10-13/h4-10H2,1-3H3
国际化学标识检索码 InChIKey GBEWIXXGYLARMX-UHFFFAOYSA-N
物理化学性质
密度 0.913g/cm3 (计算值)
沸点 234.083°C at 760 mmHg (计算值)
闪点 89.999°C (计算值)
市场分析报告
相关产品
2,8-二甲基-3-(3-氧代...  N,N-二甲基-3-(4,4,...  N,N-二甲基-3-(4,4,...  5,5-二甲基-3-(4-苯基...  5,5-二甲基-3-(4-氟苯...  5,N-二甲基-3-(4-氟苯...  1,1-二甲基-3-(4H-1...  1,2-二甲基-3-(4-磺基...  2-[5-[1,1-二甲基-3...  2,2-二甲基-3-(4-甲基...  (2E)-N,N-二甲基-3-...  2,3-二甲基-3-(4-甲基...  1,1-二甲基-3-(4-甲基...  N,N-二甲基-3-(4-甲基...  5,5-二甲基-3-(4-甲基...  N,N-二甲基-3-(4-甲基...  1,6-二甲基-3-(4-甲基...  1,2-二甲基-3-(4-甲基...  2,2-二甲基-3-(4-甲基...  5,8-二甲基-3-(4-甲基...