全球化学品在线数据库

N-乌头酰柔红霉素
[CAS 80445-77-8]

供应商
CAS#: 80445-77-8
产品: N-乌头酰柔红霉素
暂时没有厂家供应该产品。
基本信息
产品名称 N-乌头酰柔红霉素
英文名 N-Aconityldaunomycin
别名 (2Z)-2-[2-[[(2S,3S,4S,6R)-6-[[(3S)-3-Acetyl-3,5,12-Trihydroxy-10-Methoxy-6,11-Dioxo-2,4-Dihydro-1H-Tetracen-1-Yl]Oxy]-3-Hydroxy-2-Methyl-Tetrahydropyran-4-Yl]Amino]-2-Oxo-Ethylidene]Butanedioic Acid; (2Z)-2-[2-[[(2S,3S,4S,6R)-6-[[(3S)-3-Acetyl-3,5,12-Trihydroxy-10-Methoxy-6,11-Dioxo-2,4-Dihydro-1H-Tetracen-1-Yl]Oxy]-3-Hydroxy-2-Methyl-4-Tetrahydropyranyl]Amino]-2-Oxoethylidene]Butanedioic Acid; (2Z)-2-[2-[[(2S,3S,4S,6R)-6-[[(3S)-3-Acetyl-3,5,12-Trihydroxy-6,11-Diketo-10-Methoxy-2,4-Dihydro-1H-Tetracen-1-Yl]Oxy]-3-Hydroxy-2-Methyl-Tetrahydropyran-4-Yl]Amino]-2-Keto-Ethylidene]Succinic Acid
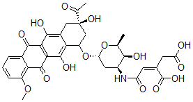
分子结构 CAS 登录号:80445-77-8, N-乌头酰柔红霉素
分子式 C33H33NO15
分子量 683.62
CAS 登录号 80445-77-8
分子行输入简码 SMILES [C@@]3(O)(CC1=C(O)C5=C(C(=C1C(O[C@@H]2O[C@H]([C@@H](O)[C@@H](NC(=O)\C=C(C(=O)O)\CC(=O)O)C2)C)C3)O)C(=O)C4=C(OC)C=CC=C4C5=O)C(=O)C
国际化学标识码 InChI 1S/C33H33NO15/c1-12-27(39)17(34-20(36)7-14(32(44)45)8-21(37)38)9-22(48-12)49-19-11-33(46,13(2)35)10-16-24(19)31(43)26-25(29(16)41)28(40)15-5-4-6-18(47-3)23(15)30(26)42/h4-7,12,17,19,22,27,39,41,43,46H,8-11H2,1-3H3,(H,34,36)(H,37,38)(H,44,45)/b14-7-/t12-,17-,19?,22-,27+,33-/m0/s1
国际化学标识检索码 InChIKey IIZSVMHRXBHTLX-PLPPDFPPSA-N
物理化学性质
密度 1.638g/cm3 (计算值)
沸点 1024.066°C at 760 mmHg (计算值)
闪点 573.134°C (计算值)
市场分析报告
相关产品
3-戊酮-d6  9-芴酮-D8  3-戊酮对甲苯磺酰基腙  2-戊酮糖 5-(磷酸二氢酯)  9-芴酮肟  2-戊酮与 2-丁酮混合物  乌头多柔比星  乌头碱; 附子精  乌头碱  乌头酸三乙基酯  乌头原碱  戊烷  戊烷  1-戊烷-1,1,2,2,3,...  戊烷-1,1,5,5-四醇  (S)-戊烷-1,2-二醇  戊烷-1,3,5-三羧酸三乙酯  戊烷-1,3-二醇  1,1'-(戊烷-1,5-二基...  戊烷-1,5-二基二(3-溴丙...