全球化学品在线数据库

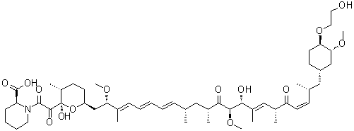
(2S)-1-[2-氧代-2-[(2R,3R,6S)-四氢-2-羟基-6-[(2S,3E,5E,7E,9S,11R,13R,14R,15E,17R,19Z,21R)-14-羟基-22-[(1S,3R,4R)-4-(2-羟基乙氧基)-3-甲氧基环己基]-2,13-二甲氧基-3,9,11,15,17,21-六甲基-12,18-二氧代-3,5,7,15,19-二十二碳五烯-1-基]-3-甲基-2H-吡喃-2-基]乙酰基]-2-哌啶羧酸
[CAS 763911-41-7]

供应商目录
Amadis Chemical Co., Ltd. 中国
www.amadischem.com
+86 (571) 8992-5085
+86 (571) 8992-5065
sales@amadischem.com
化学品生产商 (2010年起)
chemBlink 标准供应商 (2015年起)

基本信息
产品分类有机原料 >> 杂环化合物 >> 哌啶化合物
产品名称(2S)-1-[2-氧代-2-[(2R,3R,6S)-四氢-2-羟基-6-[(2S,3E,5E,7E,9S,11R,13R,14R,15E,17R,19Z,21R)-14-羟基-22-[(1S,3R,4R)-4-(2-羟基乙氧基)-3-甲氧基环己基]-2,13-二甲氧基-3,9,11,15,17,21-六甲基-12,18-二氧代-3,5,7,15,19-二十二碳五烯-1-基]-3-甲基-2H-吡喃-2-基]乙酰基]-2-哌啶羧酸
英文名(2S)-1-[2-Oxo-2-[(2R,3R,6S)-tetrahydro-2-hydroxy-6-[(2S,3E,5E,7E,9S,11R,13R,14R,15E,17R,19Z,21R)-14-hydroxy-22-[(1S,3R,4R)-4-(2-hydroxyethoxy)-3-methoxycyclohexyl]-2,13-dimethoxy-3,9,11,15,17,21-hexamethyl-12,18-dioxo-3,5,7,15,19-docosapentaen-1-yl]-3-methyl-2H-pyran-2-yl]acetyl]-2-piperidinecarboxylic acid
分子结构(2S)-1-[2-氧代-2-[(2R,3R,6S)-四氢-2-羟基-6-[(2S,3E,5E,7E,9S,11R,13R,14R,15E,17R,19Z,21R)-14-羟基-22-[(1S,3R,4R)-4-(2-羟基乙氧基)-3-甲氧基环己基]-2,13-二甲氧基-3,9,11,15,17,21-六甲基-12,18-二氧代-3,5,7,15,19-二十二碳五烯-1-基]-3-甲基-2H-吡喃-2-基]乙酰基]-2-哌啶羧酸分子结构 (CAS 763911-41-7)
分子式C53H83NO14
分子量958.22
CAS 登录号763911-41-7
物理化学性质
溶解度极微溶解 (0.22 g/L) (25 °C), 计算值*
密度1.17±0.1 g/cm3 (20 °C 760 Torr), 计算值*
*使用计算机软件 Advanced Chemistry Development (ACD/Labs) Software V11.02 (©1994-2016 ACD/Labs)
市场分析报告
相关产品
3-氧代-2,3-二氢苯并[b...  3-氧代-2,3-二氢哒嗪-4...  3-氧代-2,3-二氢哒嗪-4...  3-氧代-2,3-二氢哒嗪-4...  3-氧代-2,3-二氢哒嗪-5...  3-氧代-2,3-二氢咪唑并[...  [8-[2-氧代-2-[(2,...  (2S)-4-氧代-2-[(2...  8-氧代-2-[(2-喹啉-8...  (2S)-4-氧代-2-[(2...  2-[2-氧代-2-[(2-氧...  {(1R,2S)-3-氧代-2...  N-[1-氧代-2-[(3,4...  {6-氧代-2-[(4-氨基磺...  3-氧代-2-[(4-氧代喹唑...  [2-氧代-2-[(9R,11...  1-[(2R)-1-氧代-2-...  4-[(2R)-1-氧代-2-...  2-[(S)-1-氧代-2-[...  4-氧代-2-[[苄氧羰基]氨...