|
CAS#: 75977-88-7 产品: 11-[[2-[(2-氧代-2-氧代乙基)-[2-[(2-氧代-2-氧代乙基)-[2-[(2-氧代-2-氧代乙基)-[2-[(11-氧代-11-氧代十一烷基)氨基]-2-氧代乙基]氨基]乙基]氨基]乙基]氨基]乙酰基]氨基]十一烷酸五钠 暂时没有厂家供应该产品。 |
| 产品名称 | 11-[[2-[(2-氧代-2-氧代乙基)-[2-[(2-氧代-2-氧代乙基)-[2-[(2-氧代-2-氧代乙基)-[2-[(11-氧代-11-氧代十一烷基)氨基]-2-氧代乙基]氨基]乙基]氨基]乙基]氨基]乙酰基]氨基]十一烷酸五钠 |
|---|---|
| 英文名 | Pentasodium 11-[[2-[(2-Oxido-2-Oxoethyl)-[2-[(2-Oxido-2-Oxoethyl)-[2-[(2-Oxido-2-Oxoethyl)-[2-[(11-Oxido-11-Oxoundecyl)Amino]-2-Oxoethyl]Amino]Ethyl]Amino]Ethyl]Amino]Acetyl]Amino]Undecanoate |
| 别名 | Pentasodium 11-[[2-[(2-Oxido-2-Oxo-Ethyl)-[2-[(2-Oxido-2-Oxo-Ethyl)-[2-[(2-Oxido-2-Oxo-Ethyl)-[2-[(11-Oxido-11-Oxo-Undecyl)Amino]-2-Oxo-Ethyl]Amino]Ethyl]Amino]Ethyl]Amino]Acetyl]Amino]Undecanoate; Pentasodium 11-[[2-[(2-Oxido-2-Oxoethyl)-[2-[(2-Oxido-2-Oxoethyl)-[2-[(2-Oxido-2-Oxoethyl)-[2-[(11-Oxido-11-Oxoundecyl)Amino]-2-Oxoethyl]Amino]Ethyl]Amino]Ethyl]Amino]-1-Oxoethyl]Amino]Undecanoate; Pentasodium 11-[[2-[2-[2-[[2-Keto-2-[(11-Keto-11-Oxido-Undecyl)Amino]Ethyl]-(2-Keto-2-Oxido-Ethyl)Amino]Ethyl-(2-Keto-2-Oxido-Ethyl)Amino]Ethyl-(2-Keto-2-Oxido-Ethyl)Amino]Acetyl]Amino]Undecanoate |
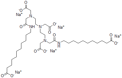
| 分子结构 | ![]() |
| 分子式 | C36H60N5Na5O12 |
| 分子量 | 869.85 |
| CAS 登录号 | 75977-88-7 |
| 分子行输入简码 SMILES | N(C(=O)CN(CCN(CCN(CC(=O)NCCCCCCCCCCC([O-])=O)CC([O-])=O)CC([O-])=O)CC([O-])=O)CCCCCCCCCCC([O-])=O.[Na+].[Na+].[Na+].[Na+].[Na+] |
| 国际化学标识码 InChI | 1S/C36H65N5O12.5Na/c42-30(37-19-15-11-7-3-1-5-9-13-17-32(44)45)25-40(28-35(50)51)23-21-39(27-34(48)49)22-24-41(29-36(52)53)26-31(43)38-20-16-12-8-4-2-6-10-14-18-33(46)47;;;;;/h1-29H2,(H,37,42)(H,38,43)(H,44,45)(H,46,47)(H,48,49)(H,50,51)(H,52,53);;;;;/q;5*+1/p-5 |
| 国际化学标识检索码 InChIKey | ATMFVJQFJPYFEX-UHFFFAOYSA-I |
| 沸点 | 998.7°C at 760 mmHg (计算值) |
|---|---|
| 闪点 | 557.8°C (计算值) |
| 市场分析报告 |