| BOC Sciences | 美国 | |||
|---|---|---|---|---|
![]() |
+1 (631) 485-4226 | |||
![]() |
info@bocsci.com | |||
![]() |
Skype 聊天 | |||
| 化学品供销商 | ||||
| chemBlink 集群供应商(2012 年起) | ||||
| Achemica | 瑞士 | |||
|---|---|---|---|---|
![]() |
+41 (24) 466-2929 | |||
![]() |
contact@achemica.com | |||
| 化学品生产商(2010 年起) | ||||
| Alfa Chemistry | 美国 | |||
|---|---|---|---|---|
![]() |
+1 (201) 478-8534 | |||
![]() |
inquiry@alfa-chemistry.com | |||
| 化学品供销商(2012 年起) | ||||
| chemBlink 标准供应商(2012 年起) | ||||
| GFS Chemicals, Inc. | 美国 | |||
|---|---|---|---|---|
![]() |
+1 (740) 881-5501 | |||
![]() |
sales@gfschemicals.com | |||
| 化学品生产商 | ||||
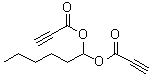
| 产品名称 | 1,1-己烷二基二(2-丙炔酸酯) |
|---|---|
| 英文名 | 1,1-Hexanediyl bis(2-propynoate) |
| 别名 | 1,6-Hexanediol dipropiolate |
| 分子结构 | ![]() |
| 分子式 | C12H14O4 |
| 分子量 | 222.24 |
| CAS 登录号 | 74987-93-2 |
| 分子行输入简码 SMILES | CCCCCC(OC(=O)C#C)OC(=O)C#C |
| 国际化学标识码 InChI | 1S/C12H14O4/c1-4-7-8-9-12(15-10(13)5-2)16-11(14)6-3/h2-3,12H,4,7-9H2,1H3 |
| 国际化学标识检索码 InChIKey | ZMLURVPZGXPUMN-UHFFFAOYSA-N |
| 密度 | 1.103g/cm3 (计算值) |
|---|---|
| 沸点 | 327.034°C at 760 mmHg (计算值) |
| 闪点 | 142.288°C (计算值) |
| 市场分析报告 |