全球化学品在线数据库

3-羟基-3-乙基戊二酰-辅酶 A
[CAS 69925-08-2]

供应商
CAS#: 69925-08-2
产品: 3-羟基-3-乙基戊二酰-辅酶 A
暂时没有厂家供应该产品。
基本信息
产品名称 3-羟基-3-乙基戊二酰-辅酶 A
英文名 3-Hydroxy-3-Ethylglutaryl-Coenzyme A
别名 5-[2-[3-[[4-[[[5-(6-Aminopurin-9-Yl)-4-Hydroxy-3-Phosphonooxy-Tetrahydrofuran-2-Yl]Methoxy-Hydroxy-Phosphoryl]Oxy-Hydroxy-Phosphoryl]Oxy-2-Hydroxy-3,3-Dimethyl-Butanoyl]Amino]Propanoylamino]Ethylsulfanyl]-3-Ethyl-3-Hydroxy-5-Oxo-Pentanoic Acid; 5-[2-[[3-[[4-[[[5-(6-Amino-9-Purinyl)-4-Hydroxy-3-Phosphonooxy-2-Tetrahydrofuranyl]Methoxy-Hydroxyphosphoryl]Oxy-Hydroxyphosphoryl]Oxy-2-Hydroxy-3,3-Dimethyl-1-Oxobutyl]Amino]-1-Oxopropyl]Amino]Ethylthio]-3-Ethyl-3-Hydroxy-5-Oxopentanoic Acid; 5-[2-[3-[[4-[[[5-(6-Aminopurin-9-Yl)-4-Hydroxy-3-Phosphonooxy-Tetrahydrofuran-2-Yl]Methoxy-Hydroxy-Phosphoryl]Oxy-Hydroxy-Phosphoryl]Oxy-2-Hydroxy-3,3-Dimethyl-Butanoyl]Amino]Propanoylamino]Ethylthio]-3-Ethyl-3-Hydroxy-5-Keto-Valeric Acid
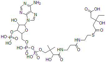
分子结构 CAS 登录号:69925-08-2, 3-羟基-3-乙基戊二酰-辅酶 A
分子式 C28H46N7O20P3S
分子量 925.69
CAS 登录号 69925-08-2
分子行输入简码 SMILES C1=NC2=C(C(=N1)N)N=C[N]2C3C(O)C(O[P](O)(O)=O)C(O3)CO[P](O[P](OCC(C)(C)C(C(NCCC(NCCSC(CC(CC(=O)O)(CC)O)=O)=O)=O)O)(=O)O)(=O)O
国际化学标识码 InChI 1S/C28H46N7O20P3S/c1-4-28(43,9-17(37)38)10-18(39)59-8-7-30-16(36)5-6-31-25(42)22(41)27(2,3)12-52-58(49,50)55-57(47,48)51-11-15-21(54-56(44,45)46)20(40)26(53-15)35-14-34-19-23(29)32-13-33-24(19)35/h13-15,20-22,26,40-41,43H,4-12H2,1-3H3,(H,30,36)(H,31,42)(H,37,38)(H,47,48)(H,49,50)(H2,29,32,33)(H2,44,45,46)
国际化学标识检索码 InChIKey JZLVGSUYGVLVTI-UHFFFAOYSA-N
物理化学性质
密度 1.843g/cm3 (计算值)
市场分析报告
相关产品
2-羟基乙基肉豆蔻酸酯  2-羟基乙基乳酸酯  2-羟基乙基三甲基铵 (R)-...  2-羟基乙基-三甲基鉮  2-羟基乙基三亚乙基二胺  羟基乙基山梨糖醇  2-(2-羟基乙基-十八碳酰氨...  DL-2-羟基异己酸  2-羟基乙基-2-脱氧-2-(...  3-羟基-3-乙基戊二酸  4-羟基乙基腺苷酰胺  2-羟基乙基硝酸酯  2-羟基乙基缬氨酸  2-羟基乙基2-溴异丁酸酯  2-羟基乙基亚氨基硫代氨基甲酸...  2-[10-(2-羟基乙基亚磺...  2-羟基乙基亚硝基氨基甲酸乙酯  2-羟基乙基异丁酸酯  2-羟基乙基乙酸酯  2-羟基乙基油酸酯