基本信息
| 产品名称 |
8-羟基-5,7-二硝基-2-萘磺酸铝盐 |
| 英文名 |
8-Hydroxy-5,7-dinitro-2-Naphthalenesulfonic acid aluminum salt |
| 别名 |
Dialuminum; 5,7-Dinitro-8-Oxido-Naphthalene-2-Sulfonate; 5,7-Dinitro-8-Oxido-Naphthalene-2-Sulfonate; Dialuminum; 5,7-Dinitro-8-Oxido-2-Naphthalenesulfonate; 5,7-Dinitro-8-Oxido-2-Naphthalenesulfonate |
|
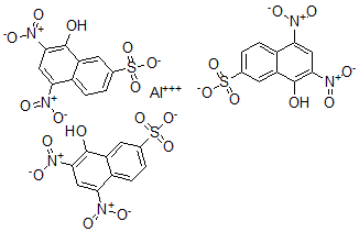
| 分子结构 |
 |
| 分子式 |
C30H12Al2N6O24S3 |
| 分子量 |
990.59 |
| CAS 登录号 |
68698-86-2 |
| 分子行输入简码 SMILES |
[Al+3].[Al+3].C1=C2C(=CC=C1[S]([O-])(=O)=O)C(=CC(=C2[O-])[N+]([O-])=O)[N+]([O-])=O.C3=C4C(=CC=C3[S]([O-])(=O)=O)C(=CC(=C4[O-])[N+]([O-])=O)[N+]([O-])=O.C5=C6C(=CC=C5[S]([O-])(=O)=O)C(=CC(=C6[O-])[N+]([O-])=O)[N+]([O-])=O |
| 国际化学标识码 InChI |
1S/3C10H6N2O8S.2Al/c3*13-10-7-3-5(21(18,19)20)1-2-6(7)8(11(14)15)4-9(10)12(16)17;;/h3*1-4,13H,(H,18,19,20);;/q;;;2*+3/p-6 |
| 国际化学标识检索码 InChIKey |
DBVXUKIBGLKJBR-UHFFFAOYSA-H |
|