全球化学品在线数据库

辅酶 alpha-谷胱甘肽混合物二硫化物
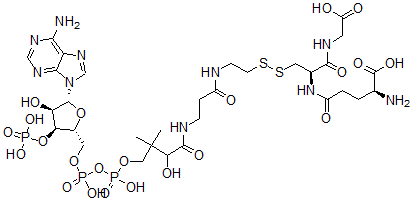
[CAS 6477-52-7]

供应商
CAS#: 6477-52-7
产品: 辅酶 alpha-谷胱甘肽混合物二硫化物
暂时没有厂家供应该产品。
基本信息
产品名称 辅酶 alpha-谷胱甘肽混合物二硫化物
英文名 Coenzyme alpha-Glutathione Mixed Disulfide
别名 (2S)-2-Amino-5-[[(1R)-1-[2-[3-[[4-[[[(2R,3S,4R,5R)-5-(6-Aminopurin-9-Yl)-4-Hydroxy-3-Phosphonooxy-Tetrahydrofuran-2-Yl]Methoxy-Hydroxy-Phosphoryl]Oxy-Hydroxy-Phosphoryl]Oxy-2-Hydroxy-3,3-Dimethyl-Butanoyl]Amino]Propanoylamino]Ethyldisulfanylmethyl]-2-(Carboxymethylamino)-2-Oxo-Ethyl]Amino]-5-Oxo-Pentanoic Acid; (2S)-2-Amino-5-[[(1R)-1-[2-[[3-[[4-[[[(2R,3S,4R,5R)-5-(6-Amino-9-Purinyl)-4-Hydroxy-3-Phosphonooxy-2-Tetrahydrofuranyl]Methoxy-Hydroxyphosphoryl]Oxy-Hydroxyphosphoryl]Oxy-2-Hydroxy-3,3-Dimethyl-1-Oxobutyl]Amino]-1-Oxopropyl]Amino]Ethyldisulfanylmethyl]-2-(Carboxymethylamino)-2-Oxoethyl]Amino]-5-Oxopentanoic Acid; 2-[[(2R)-2-[[(4S)-4-Amino-5-Hydroxy-5-Keto-Pentanoyl]Amino]-3-[2-[3-[[4-[[[(2R,3S,4R,5R)-5-(6-Aminopurin-9-Yl)-4-Hydroxy-3-Phosphonooxy-Tetrahydrofuran-2-Yl]Methoxy-Hydroxy-Phosphoryl]Oxy-Hydroxy-Phosphoryl]Oxy-2-Hydroxy-3,3-Dimethyl-Butanoyl]Amino]Propanoylamino]Ethyldisulfanyl]Propanoyl]Amino]Acetic Acid
分子结构 CAS 登录号:6477-52-7, 辅酶 alpha-谷胱甘肽混合物二硫化物
分子式 C31H51N10O22P3S2
分子量 1072.84
CAS 登录号 6477-52-7
分子行输入简码 SMILES [C@H]1(O[P](O)(O)=O)[C@@H](O)[C@@H](O[C@@H]1CO[P](O[P](OCC(C(O)C(=O)NCCC(=O)NCCSSC[C@H](NC(=O)CC[C@H](N)C(O)=O)C(=O)NCC(O)=O)(C)C)(O)=O)(O)=O)[N]3C2=NC=NC(=C2N=C3)N
国际化学标识码 InChI 1S/C31H51N10O22P3S2/c1-31(2,24(47)28(49)35-6-5-18(42)34-7-8-67-68-11-16(27(48)36-9-20(44)45)40-19(43)4-3-15(32)30(50)51)12-60-66(57,58)63-65(55,56)59-10-17-23(62-64(52,53)54)22(46)29(61-17)41-14-39-21-25(33)37-13-38-26(21)41/h13-17,22-24,29,46-47H,3-12,32H2,1-2H3,(H,34,42)(H,35,49)(H,36,48)(H,40,43)(H,44,45)(H,50,51)(H,55,56)(H,57,58)(H2,33,37,38)(H2,52,53,54)/t15-,16-,17+,22+,23+,24?,29+/m0/s1
国际化学标识检索码 InChIKey JYKWMJBUIXNJOG-JHKACSFWSA-N
物理化学性质
密度 1.914g/cm3 (计算值)
市场分析报告
相关产品
辅酶 A S-(2-亚甲基环丙...  辅酶 A S-(3-羧基-3-...  辅酶 A S-(3-氧代丁酸酯...  辅酶 A S-(9Z,12Z)...  辅酶 A S-丁酸酯  辅酶 A S-己酸酯三锂盐  辅酶 A S-十九烷酸酯  辅酶 A S-十四烷酸酯锂盐  辅酶 A S-辛酸酯  N-(2-(S-辅酶 A)乙酰...  (R)-辅酶 A-S-[1-氢...  辅酶 A-S-十六烷酸酯  辅酶 A-S-十四烷酸酯  辅酶 A-S-硬脂酸酯  辅酶 A-S-月桂酸酯  辅酶 F420  辅酶 M  辅酶 Q1  辅酶 Q10; 2-(3,7,...  辅酶 Q2