全球化学品在线数据库

Rylan Orange R
[CAS 55809-98-8]

供应商目录
Alfa Chemistry 美国
www.alfa-chemistry.com
+1 (201) 478-8534
+1 (516) 927-0118
inquiry@alfa-chemistry.com
化学品供销商 (2012年起)
chemBlink 标准供应商 (2012年起)

基本信息
产品名称Rylan Orange R
英文名Rylan Orange R
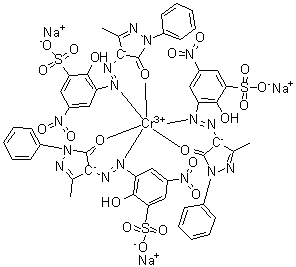
分子结构Rylan Orange R分子结构 (CAS 55809-98-8)
分子式C32H17CrN10O14S2Na3
分子量950.63
CAS 登录号55809-98-8
EC 号码259-830-9
安全数据
危害分类
up    说明
危害分类类别码危害标签
严重眼损伤Eye Dam.1H318
对水生环境长期有害Aquatic Chronic3H412
对水生环境长期有害Aquatic Chronic2H411
眼刺激Eye Irrit.2H319
市场分析报告
相关产品
alpha-乳酰基硫胺  N-乳酰-L-丙氨酸  N-乳酰-L-丙氨酸  乳腺提取物  乳酰抑肽素  蠕形青霉素  铷硒酸盐  铷亚碲酸盐  乳抑胃酶氨酰锡亚硫酸氢盐  R-Xylyl-Phaneph...  S 186  S 23  S 31-M2001  S(-)-BZM  S-(+)-Arundic A...  S-3304  Sabethane Z  Sabutoclax  Sacubitril-[d4]  Sacubitrilat