全球化学品在线数据库

洋翠雀碱
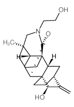
[CAS 545-61-9]

供应商
CAS#: 545-61-9
产品: 洋翠雀碱
暂时没有厂家供应该产品。
基本信息
产品名称 洋翠雀碱
英文名 Ajaconine
别名 7Alpha,20-Epoxy-21-(2-Hydroxyethyl)-4-Methylatid-16-En-15Beta-Ol; Chebi:2523; Ajaconine
分子结构 CAS 登录号:545-61-9, 洋翠雀碱
分子式 C22H33NO3
分子量 359.51
CAS 登录号 545-61-9
分子行输入简码 SMILES [C@@]124C3O[C@H](C[C@@H]1[C@@](C)(CCC2)CN3CCO)[C@@]56[C@H]4C[C@@H](C(=C)[C@H]5O)CC6
国际化学标识码 InChI 1S/C22H33NO3/c1-13-14-4-7-22(18(13)25)16(10-14)21-6-3-5-20(2)12-23(8-9-24)19(21)26-17(22)11-15(20)21/h14-19,24-25H,1,3-12H2,2H3/t14-,15+,16-,17+,18+,19?,20-,21-,22+/m0/s1
国际化学标识检索码 InChIKey RLXRCZIALRMBJR-VRMMQTGXSA-N
市场分析报告
相关产品
羊齿-9(11)烯  洋川芎内酯 A; (3S)-3...  洋川芎内酯 H  洋川芎内酯 I  洋椿苦素  3,3',3''-氧次膦基三丙...  3,3',3''-[氧次膦三(...  洋葱提取物  洋葱油  洋翠雀碱  氧代-((2,2,6,6-四甲...  4-氧代-4-((2-苯基乙基...  氧代((4-(((氧代((苯基...  氧代((4-(2-呋喃基)-2...  6-氧代(-)-布托啡诺  4-氧代-4-([3-(三氟甲...  4-氧代-4-({1-[2-(...  氧代(1,3,4-噻二唑-2-...  4-氧代-4-(1,3,4-噻...  氧代(1,3-噻唑-2-基氨基...