全球化学品在线数据库

N,N-二乙基-N-甲基-2-(2-(三甲基铵基)乙氧基)-1-丙铵二碘化物
[CAS 53597-29-8]

供应商
CAS#: 53597-29-8
产品: N,N-二乙基-N-甲基-2-(2-(三甲基铵基)乙氧基)-1-丙铵二碘化物
暂时没有厂家供应该产品。
基本信息
产品名称 N,N-二乙基-N-甲基-2-(2-(三甲基铵基)乙氧基)-1-丙铵二碘化物
英文名 N,N-Diethyl-N-methyl-2-(2-(trimethylammonio)ethoxy)-1-propanaminium diiodide
别名 Diethyl-Methyl-[2-(2-Trimethylammonioethoxy)Propyl]Ammonium Diiodide; 1-Propanaminium, N,N-Diethyl-N-Methyl-2-(2-(Trimethylammonio)Ethoxy)-, Diiodide (9Ci); 2-(2-Dimethylaminoethoxy)-N,N-Diethylpropylamine Dimethiodide
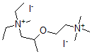
分子结构 CAS 登录号:53597-29-8, N,N-二乙基-N-甲基-2-(2-(三甲基铵基)乙氧基)-1-丙铵二碘化物
分子式 C13H32I2N2O
分子量 486.22
CAS 登录号 53597-29-8
分子行输入简码 SMILES C(C)[N+](C)(CC)CC(C)OCC[N+](C)(C)C.[I-].[I-]
国际化学标识码 InChI 1S/C13H32N2O.2HI/c1-8-15(7,9-2)12-13(3)16-11-10-14(4,5)6;;/h13H,8-12H2,1-7H3;2*1H/q+2;;/p-2
国际化学标识检索码 InChIKey RUBDHVDUWRMJGL-UHFFFAOYSA-L
市场分析报告
相关产品
N,N-二乙基-N'-苯基乙二...  N,N-二乙基-N-丙酰基-丙...  N,N-二乙基-内-2-氨基降...  1,3-二乙基脲  1,3-二乙基脲  1,1-二乙基脲  4-(3-二乙基脲基)苯硼酸频...  二乙基脲基丙二酸酯  N,N-二乙基-N'-甲基-1...  N,N-二乙基-N-甲基-2-...  N,N-二乙基-N-甲基-2-...  N,N-二乙基-N-甲基-3-...  2,6-二乙基-N-甲基苯硫代...  N,2-二乙基-N-甲基硫代苯...  N,N-二乙基-N-甲基-N-...  N,N-二乙基-N-甲基-乙铵  N,N-二乙基-N-甲基乙铵二...  N,N-二乙基-N-甲基乙铵甲...  N,N-二乙基-N'-甲基乙烷...  4,4-二乙基-N-羟基-2-...