全球化学品在线数据库

3-[(1-甲基己基)氧基亚氨基甲基]利福霉素 SV
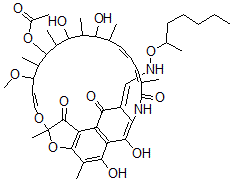
[CAS 41776-73-2]

供应商
CAS#: 41776-73-2
产品: 3-[(1-甲基己基)氧基亚氨基甲基]利福霉素 SV
暂时没有厂家供应该产品。
基本信息
产品名称 3-[(1-甲基己基)氧基亚氨基甲基]利福霉素 SV
英文名 3-[(1-Methylhexyl)Oxyiminomethyl]Rifamycin SV
别名 2,7-(Epoxypentadeca(1,11,13)Trienimino)Naphtho(2,1-B)Furan-1,11(2H)-Dione, 3-Formyl-5,6,9,17,19,21-Hexahydroxy-23-Methoxy-2,4,12,16,18,20,22-Heptamethyl-, 21-Acetate, O-(Hept-2-Yl)Oxime; 3-Formylrifamycin Sv O-(Hept-2-Yl)Oxime
分子结构 CAS 登录号:41776-73-2, 3-[(1-甲基己基)氧基亚氨基甲基]利福霉素 SV
分子式 C45H62N2O13
分子量 838.99
CAS 登录号 41776-73-2
分子行输入简码 SMILES C(C(ON/C=C2/C(=O)C1=C3C(=C(C4=C1C(=O)C(O/C=C/C(OC)C(C(OC(=O)C)C(C(O)C(C(O)C(C)\C=C\C=C(C(=O)NC2=C3O)\C)C)C)C)(O4)C)C)O)C)CCCC
国际化学标识码 InChI 1S/C45H62N2O13/c1-12-13-14-18-24(4)60-46-21-30-35-40(53)33-32(39(30)52)34-42(28(8)38(33)51)59-45(10,43(34)54)57-20-19-31(56-11)25(5)41(58-29(9)48)27(7)37(50)26(6)36(49)22(2)16-15-17-23(3)44(55)47-35/h15-17,19-22,24-27,31,36-37,41,46,49-51,53H,12-14,18H2,1-11H3,(H,47,55)/b16-15+,20-19+,23-17-,30-21+
国际化学标识检索码 InChIKey UMWBMGABUBIGNT-BSGXQXCISA-N
市场分析报告
相关产品
3-甲基己二酰二氯  甲基己二酰氯  2'-C-甲基肌苷  2'-O-甲基肌苷  6-O-甲基肌苷  3'-O-甲基肌苷  甲基己基(甲基)氨基甲酸酯  2-(2-甲基己基)-1,3-...  (1-甲基己基)铵硫酸盐  2-(5-甲基己基)吡啶  3-甲基己基胺  5-甲基己基奥利司他癸基酯  2-甲基己基丙烯酸酯  2-甲基己基甲基丙烯酸酯  1-甲基己基己酸酯  5-甲基己腈  2-甲基己腈  1-甲基己基辛酸酯  1-甲基己基溴化锌  3-甲基己基乙酸酯