基本信息
| 产品名称 |
尿苷二磷酸酯 N-乙酰基甘露糖胺 |
| 英文名 |
Uridine Diphosphate N-Acetylmannosamine |
| 别名 |
[(3S,4R,5S,6R)-3-Acetamido-4,5-Dihydroxy-6-(Hydroxymethyl)Tetrahydropyran-2-Yl] [[(2R,3S,4R,5R)-5-(2,4-Dioxopyrimidin-1-Yl)-3,4-Dihydroxy-Tetrahydrofuran-2-Yl]Methoxy-Hydroxy-Phosphoryl] Hydrogen Phosphate; [(3S,4R,5S,6R)-3-Acetamido-4,5-Dihydroxy-6-(Hydroxymethyl)-2-Tetrahydropyranyl] [[(2R,3S,4R,5R)-5-(2,4-Dioxo-1-Pyrimidinyl)-3,4-Dihydroxy-2-Tetrahydrofuranyl]Methoxy-Hydroxyphosphoryl] Hydrogen Phosphate; [(3S,4R,5S,6R)-3-Acetamido-4,5-Dihydroxy-6-Methylol-Tetrahydropyran-2-Yl] [[(2R,3S,4R,5R)-5-(2,4-Diketopyrimidin-1-Yl)-3,4-Dihydroxy-Tetrahydrofuran-2-Yl]Methoxy-Hydroxy-Phosphoryl] Hydrogen Phosphate |
|
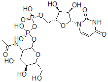
| 分子结构 |
 |
| 分子式 |
C17H27N3O17P2 |
| 分子量 |
607.36 |
| CAS 登录号 |
26575-17-7 |
| 分子行输入简码 SMILES |
[C@H]1(O[C@@H]([C@@H](O)[C@H]1O)CO[P](O[P](OC2O[C@@H]([C@@H](O)[C@H](O)[C@@H]2NC(=O)C)CO)(=O)O)(=O)O)N3C(=O)NC(=O)C=C3 |
| 国际化学标识码 InChI |
1S/C17H27N3O17P2/c1-6(22)18-10-13(26)11(24)7(4-21)35-16(10)36-39(31,32)37-38(29,30)33-5-8-12(25)14(27)15(34-8)20-3-2-9(23)19-17(20)28/h2-3,7-8,10-16,21,24-27H,4-5H2,1H3,(H,18,22)(H,29,30)(H,31,32)(H,19,23,28)/t7-,8-,10+,11-,12-,13-,14-,15-,16?/m1/s1 |
| 国际化学标识检索码 InChIKey |
LFTYTUAZOPRMMI-GURWZFJLSA-N |
|