|
CAS#: 25657-08-3 产品: 1-[2-[2-(1-羟基丙氧基)丙氧基]-1-甲基-乙氧基]丙-1-醇 暂时没有厂家供应该产品。 |
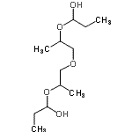
| 产品名称 | 1-[2-[2-(1-羟基丙氧基)丙氧基]-1-甲基-乙氧基]丙-1-醇 |
|---|---|
| 英文名 | 1-[2-[2-(1-Hydroxypropoxy)Propoxy]-1-Methyl-Ethoxy]Propan-1-Ol |
| 别名 | Propanol, [oxybis[(methyl-2,1-ethanediyl)oxy]]bis- |
| 分子结构 | ![]() |
| 分子式 | C12H26O5 |
| 分子量 | 250.33 |
| CAS 登录号 | 25657-08-3 |
| 分子行输入简码 SMILES | CCC(O)OC(C)COCC(C)OC(CC)O |
| 国际化学标识码 InChI | 1S/C12H26O5/c1-5-11(13)16-9(3)7-15-8-10(4)17-12(14)6-2/h9-14H,5-8H2,1-4H3 |
| 国际化学标识检索码 InChIKey | HRPYGYLEWZDCAO-UHFFFAOYSA-N |
| 密度 | 1.033g/cm3 (计算值) |
|---|---|
| 沸点 | 269.146°C at 760 mmHg (计算值) |
| 闪点 | 116.575°C (计算值) |
| 折射率 | 1.455 (计算值) |
| 市场分析报告 |