| Achemica | 瑞士 | |||
|---|---|---|---|---|
![]() |
+41 (24) 466-2929 | |||
![]() |
contact@achemica.com | |||
| 化学品生产商(2010 年起) | ||||
| Silar Laboratories | 美国 | |||
|---|---|---|---|---|
![]() |
+1 (910) 762-5800 | |||
![]() |
info@silar.com | |||
| 化学品生产商 | ||||
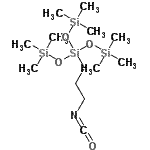
| 产品名称 | 3-(3-异氰酸丙基)-1,1,1,5,5,5-六甲基-3-[(三甲基硅烷基)氧基]三硅氧烷 |
|---|---|
| 英文名 | 3-(3-Isocyanatopropyl)-1,1,1,5,5,5-Hexamethyl-3-[(Trimethylsilyl)Oxy]Trisiloxane |
| 分子结构 | ![]() |
| 分子式 | C13H33NO4Si4 |
| 分子量 | 379.75 |
| CAS 登录号 | 25357-82-8 |
| 分子行输入简码 SMILES | O=C=N\CCC[Si](O[Si](C)(C)C)(O[Si](C)(C)C)O[Si](C)(C)C |
| 国际化学标识码 InChI | 1S/C13H33NO4Si4/c1-19(2,3)16-22(17-20(4,5)6,18-21(7,8)9)12-10-11-14-13-15/h10-12H2,1-9H3 |
| 国际化学标识检索码 InChIKey | QRWZBOQSMUYOCM-UHFFFAOYSA-N |
| 密度 | 0.921g/cm3 (计算值) |
|---|---|
| 沸点 | 320.664°C at 760 mmHg (计算值) |
| 闪点 | 147.733°C (计算值) |
| 折射率 | 1.424 (计算值) |
| 市场分析报告 |