全球化学品在线数据库

氨基辛二酰(1,6)-精氨加压素
[CAS 24057-83-8]

供应商
CAS#: 24057-83-8
产品: 氨基辛二酰(1,6)-精氨加压素
暂时没有厂家供应该产品。
基本信息
产品名称 氨基辛二酰(1,6)-精氨加压素
英文名 Aminosuberoyl(1,6)-Argipressin
别名 1-[11-(2-Amino-2-Oxo-Ethyl)-8-(3-Amino-3-Oxo-Propyl)-2-[(4-Hydroxyphenyl)Methyl]-3,6,9,12,20-Pentaoxo-5-(Phenylmethyl)1,4,7,10,13-Pentazacycloicosane-14-Carbonyl]-N-[1-[(2-Amino-2-Oxo-Ethyl)Carbamoyl]-4-Guanidino-Butyl]Pyrrolidine-2-Carboxamide; N-[1-[[(2-Amino-2-Oxoethyl)Amino]-Oxomethyl]-4-Guanidinobutyl]-1-[[11-(2-Amino-2-Oxoethyl)-8-(3-Amino-3-Oxopropyl)-2-[(4-Hydroxyphenyl)Methyl]-3,6,9,12,20-Pentaoxo-5-(Phenylmethyl)-1,4,7,10,13-Pentazacycloicos-14-Yl]-Oxomethyl]-2-Pyrrolidinecarboxamide; 1-[11-(2-Amino-2-Keto-Ethyl)-8-(3-Amino-3-Keto-Propyl)-5-(Benzyl)-2-(4-Hydroxybenzyl)-3,6,9,12,20-Pentaketo-1,4,7,10,13-Pentazacycloicosane-14-Carbonyl]-N-[1-[(2-Amino-2-Keto-Ethyl)Carbamoyl]-4-Guanidino-Butyl]Pyrrolidine-2-Carboxamide
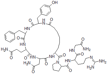
分子结构 CAS 登录号:24057-83-8, 氨基辛二酰(1,6)-精氨加压素
分子式 C48H68N14O12
分子量 1033.15
CAS 登录号 24057-83-8
分子行输入简码 SMILES C4=C(CC1NC(=O)CCCCCC(NC(=O)C(NC(=O)C(NC(=O)C(NC1=O)CC2=CC=CC=C2)CCC(=O)N)CC(=O)N)C(=O)N3C(CCC3)C(=O)NC(CCCN=C(N)N)C(=O)NCC(=O)N)C=CC(=C4)O
国际化学标识码 InChI 1S/C48H68N14O12/c49-37(64)20-19-31-42(69)61-35(25-38(50)65)45(72)59-32(47(74)62-22-8-13-36(62)46(73)58-30(12-7-21-54-48(52)53)41(68)55-26-39(51)66)11-5-2-6-14-40(67)56-33(24-28-15-17-29(63)18-16-28)43(70)60-34(44(71)57-31)23-27-9-3-1-4-10-27/h1,3-4,9-10,15-18,30-36,63H,2,5-8,11-14,19-26H2,(H2,49,64)(H2,50,65)(H2,51,66)(H,55,68)(H,56,67)(H,57,71)(H,58,73)(H,59,72)(H,60,70)(H,61,69)(H4,52,53,54)
国际化学标识检索码 InChIKey RNZNNGJIIRKABQ-UHFFFAOYSA-N
物理化学性质
密度 1.504g/cm3 (计算值)
市场分析报告
相关产品
7-氨基硝西泮  5-(3-氨基烯丙基)尿苷  5-(3-氨基烯丙基)尿苷 5...  35-氨基细菌何帕烷-30,3...  D-alpha-氨基辛二酸  DL-alpha-氨基辛二酸  L-2-氨基辛二酸  (S)-2-Fmoc-氨基辛二...  [alpha-氨基辛二酸1,6...  1,6-alpha-氨基辛二酸...  N-(8-氨基辛基)-1,8-...  N-(8-氨基辛基)-5-碘萘...  N-(8-氨基辛基)-5-二甲...  (1-氨基辛基)膦酸  (2R,3R,4S,5R)-2...  6-氨基辛腈  2-氨基辛腈  8-氨基辛酸  3-氨基辛酸  (R)-2-氨基辛酸