全球化学品在线数据库

脱水红霉素 A
[CAS 23893-13-2]

供应商目录
上海孚一生物科技有限公司 中国
www.foreversyn.com
+86 (551) 6288-8437
+86 18096409024
sales@foreversyn.com
sales02@foreversyn.com
QQ Chat
Skype Chat
化学品供销商 (2013年起)
chemBlink 标准供应商 (2018年起)

基本信息
产品分类分析化学 >> 分析试剂 >> 离子色谱试剂
产品名称脱水红霉素 A
英文名Anhydroerythromycin A
别名9-Deoxo-6,12-dideoxy-6,9:9,12-diepoxyerythromycin; 6,9,12-Anhydroerythromycin A; Anhydroerythromycin; Anhydroerythromycin A; BRL 46355ER; EM 202; Erythromycin anhydride
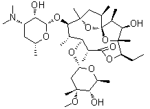
分子结构脱水红霉素 A分子结构 (CAS 23893-13-2)
分子式C37H65NO12
分子量715.91
CAS 登录号23893-13-2
物理化学性质
溶解度微溶 (4.2 g/L) (25 °C), 计算值*
密度1.21±0.1 g/cm3 (20 °C 760 Torr), 计算值*
熔点140-149 °C**
*使用计算机软件 Advanced Chemistry Development (ACD/Labs) Software V11.02 (©1994-2018 ACD/Labs)
**Hassanzadeh, Abdolreza
安全数据
SDS化学品安全技术说明书参考文本
市场分析报告
相关产品
1,4-脱水-D-山梨糖醇 3...  2,5-脱水-D-山梨糖醇 4...  2,5-脱水-D-山梨糖醇 4...  1,4-脱水-D-山梨糖醇 6...  2,5-脱水-D-山梨糖醇-1...  2.5-脱水-D-山梨糖醇-6...  脱水二氢青蒿素  1,5-脱水呋喃阿拉伯糖  9,11-脱水夫西地酸  1,5-脱水核糖醇  脱水加兰它敏  1,2-脱水肌醇  2',3'-脱水肌苷  1,4-脱水己糖醇  2,5-脱水己糖酸  2,5-脱水-L-艾杜糖醇  2,2'-脱水-L-尿苷  1,5-脱水-L-山梨糖醇  2,3-脱水罗舒伐他汀钙  脱水氯四环素盐酸盐