| Achemica | 瑞士 | |||
|---|---|---|---|---|
![]() |
+41 (24) 466-2929 | |||
![]() |
contact@achemica.com | |||
| 化学品生产商(2010 年起) | ||||
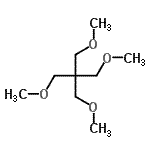
| 产品名称 | 1,3-二甲氧基-2,2-二(甲氧基甲基)丙烷 |
|---|---|
| 英文名 | 1,3-Dimethoxy-2,2-Bis(Methoxymethyl)Propane |
| 别名 | PENTAERYTHRO-TETRAMETHYL ETHER |
| 分子结构 | ![]() |
| 分子式 | C9H20O4 |
| 分子量 | 192.25 |
| CAS 登录号 | 2209-92-9 |
| 分子行输入简码 SMILES | COCC(COC)(COC)COC |
| 国际化学标识码 InChI | 1S/C9H20O4/c1-10-5-9(6-11-2,7-12-3)8-13-4/h5-8H2,1-4H3 |
| 国际化学标识检索码 InChIKey | MBXZBSXAFUVONM-UHFFFAOYSA-N |
| 密度 | 0.949g/cm3 (计算值) |
|---|---|
| 沸点 | 220.482°C at 760 mmHg (计算值) |
| 闪点 | 71.102°C (计算值) |
| 折射率 | 1.415 (计算值) |
| 市场分析报告 |