| 江苏科利恩净水科技有限公司 | 中国 | |||
|---|---|---|---|---|
![]() | www.kelien.com | |||
![]() | +86 (519) 8366-1998 | |||
![]() | +86 (519) 8366-1152 | |||
![]() | info@kelien.com | |||
| 化学品生产商 | ||||
| chemBlink 标准供应商 (2005年起) | ||||
| 山东省泰和水处理有限公司 | 中国 | |||
|---|---|---|---|---|
![]() | www.thwater.net | |||
![]() | +86 (632) 511-3066 | |||
![]() | +86 (632) 346-0156 | |||
![]() | th@thwater.com | |||
| 化学品生产商 | ||||
| chemBlink 标准供应商 (2008年起) | ||||
| 厦门志信化学有限公司 | 中国 | |||
|---|---|---|---|---|
![]() | www.simagchem.com | |||
![]() | +86 13806087780 | |||
![]() | +86 (592) 268-0237 | |||
![]() | sale@simagchem.com | |||
| 化学品生产商 (2002年起) | ||||
| chemBlink 标准供应商 (2008年起) | ||||
| 常州市润洋化工有限公司 | 中国 | |||
|---|---|---|---|---|
![]() | www.yilichem.cn | |||
![]() | +86 (519) 8860-1518 | |||
![]() | +86 (519) 8860-1027 | |||
![]() | pailove@sina.com myabby@vip.qq.com | |||
![]() | QQ Chat | |||
| 化学品生产商 (1995年起) | ||||
| chemBlink 标准供应商 (2009年起) | ||||
| 枣庄市鑫泰水处理技术有限公司 | 中国 | |||
|---|---|---|---|---|
![]() | www.xintaiwater.com | |||
![]() | +86 (632) 346-1066 | |||
![]() | +86 (632) 346-1077 | |||
![]() | xintaiwater@163.com | |||
| 化学品生产商 | ||||
| 产品分类 | 有机原料 >> 有机膦化合物 |
|---|---|
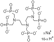
| 产品名称 | 二乙烯三胺五亚甲基膦酸钠 |
| 英文名 | Diethylenetriaminepenta(methylenephosphonicacid) sodium salt |
| 别名 | DTPMP-Na |
| 分子结构 | ![]() |
| 分子式 | C9H28N3O15P5.xNa |
| CAS 登录号 | 22042-96-2 |
| EC 号码 | 244-751-4 |
| 危害分类 | |||||||||||||||||||||||||||||||||
|---|---|---|---|---|---|---|---|---|---|---|---|---|---|---|---|---|---|---|---|---|---|---|---|---|---|---|---|---|---|---|---|---|---|
| |||||||||||||||||||||||||||||||||
| 市场分析报告 |