| Achemica | 瑞士 | |||
|---|---|---|---|---|
![]() |
+41 (24) 466-2929 | |||
![]() |
contact@achemica.com | |||
| 化学品生产商(2010 年起) | ||||
| 深圳爱拓化学有限公司 | 中国 | |||
|---|---|---|---|---|
![]() |
+86 13417589054/ | |||
![]() |
info@atomaxchem.com,atomax.chemicals@gmail.com | |||
![]() |
QQ 交流 | |||
| 化学品生产商 | ||||
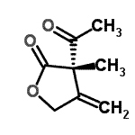
| 产品名称 | (3S)-3-乙酰基-3-甲基-4-亚甲基二氢-2(3H)-呋喃酮 |
|---|---|
| 英文名 | (3S)-3-Acetyl-3-Methyl-4-Methylenedihydro-2(3H)-Furanone |
| 别名 | (S)-3-acetyl-3-methyl-4-methylenedihydrofuran-2(3H)-one |
| 分子结构 | ![]() |
| 分子式 | C8H10O3 |
| 分子量 | 154.16 |
| CAS 登录号 | 220308-41-8 |
| 分子行输入简码 SMILES | CC(=O)[C@@]1(C(=C)COC1=O)C |
| 国际化学标识码 InChI | 1S/C8H10O3/c1-5-4-11-7(10)8(5,3)6(2)9/h1,4H2,2-3H3/t8-/m0/s1 |
| 国际化学标识检索码 InChIKey | YIKFPIRLKVGLQC-QMMMGPOBSA-N |
| 密度 | 1.114g/cm3 (计算值) |
|---|---|
| 沸点 | 283.77°C at 760 mmHg (计算值) |
| 闪点 | 124.695°C (计算值) |
| 折射率 | 1.469 (计算值) |
| 市场分析报告 |