全球化学品在线数据库

{[(1S,2S)-2-乙氧基-1-甲氧基环丙基]乙炔基}(三甲基)硅烷
[CAS 178751-90-1]

供应商
深圳爱拓化学有限公司 中国
+86 13417589054/
info@atomaxchem.com,atomax.chemicals@gmail.com
QQ 交流
化学品生产商
基本信息
产品名称 {[(1S,2S)-2-乙氧基-1-甲氧基环丙基]乙炔基}(三甲基)硅烷
英文名 {[(1S,2S)-2-Ethoxy-1-Methoxycyclopropyl]Ethynyl}(Trimethyl)Silane
别名 (((1S,2S)-2-ethoxy-1-methoxycyclopropyl)ethynyl)trimethylsilane
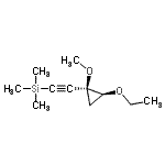
分子结构 CAS 登录号:178751-90-1, {[(1S,2S)-2-乙氧基-1-甲氧基环丙基]乙炔基}(三甲基)硅烷
分子式 C11H20O2Si
分子量 212.36
CAS 登录号 178751-90-1
分子行输入简码 SMILES CCO[C@H]1C[C@@]1(C#C[Si](C)(C)C)OC
国际化学标识码 InChI 1S/C11H20O2Si/c1-6-13-10-9-11(10,12-2)7-8-14(3,4)5/h10H,6,9H2,1-5H3/t10-,11+/m0/s1
国际化学标识检索码 InChIKey DFTPFAHZDJULNW-WDEREUQCSA-N
物理化学性质
密度 0.947g/cm3 (计算值)
沸点 219.51°C at 760 mmHg (计算值)
闪点 69.021°C (计算值)
折射率 1.458 (计算值)
市场分析报告
相关产品
(3aS,8aR)-3A-乙氧...  4-乙氧基-1-甲基-4-苯基...  2-乙氧基-1-甲基-2-吡咯...  (4R)-4-乙氧基-1-甲基...  (4S)-4-乙氧基-1-甲基...  8-乙氧基-1-甲基三环[4....  4-(1-乙氧基-1-甲基乙基...  (1-乙氧基-1-甲基乙基)苯  4-乙氧基-1-甲氧基-2,2...  2-乙氧基-1-甲氧基-4-(...  {[(1R,2S)-2-乙氧基...  (2-乙氧基-1-甲氧基乙氧基...  (1E)-1-乙氧基-1-己烯  3-乙氧基-1-硫杂-4-氮杂...  4-乙氧基-1-萘-1-基-咪...  2-乙氧基-1-萘胺  7-乙氧基-1-萘胺  6-乙氧基-1-萘胺  2-(4-乙氧基-1-萘基)-...  1-(2-乙氧基-1-萘基)甲...