全球化学品在线数据库

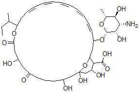
(6E,10Z)-3-[(2R,3S,4S,5S,6R)-4-氨基-3,5-二羟基-6-甲基四氢吡喃-2-基]氧基-15-丁烷-2-基-19,25,27,29-四羟基-17,21-二氧代-16,31-二氧杂双环[25.3.1]三十一碳-4,6,8,10,12-五烯-30-羧酸
[CAS 128808-63-9]

供应商
CAS#: 128808-63-9
产品: (6E,10Z)-3-[(2R,3S,4S,5S,6R)-4-氨基-3,5-二羟基-6-甲基四氢吡喃-2-基]氧基-15-丁烷-2-基-19,25,27,29-四羟基-17,21-二氧代-16,31-二氧杂双环[25.3.1]三十一碳-4,6,8,10,12-五烯-30-羧酸
暂时没有厂家供应该产品。
基本信息
产品名称 (6E,10Z)-3-[(2R,3S,4S,5S,6R)-4-氨基-3,5-二羟基-6-甲基四氢吡喃-2-基]氧基-15-丁烷-2-基-19,25,27,29-四羟基-17,21-二氧代-16,31-二氧杂双环[25.3.1]三十一碳-4,6,8,10,12-五烯-30-羧酸
英文名 (6E,10Z)-3-[(2R,3S,4S,5S,6R)-4-Amino-3,5-Dihydroxy-6-Methyloxan-2-Yl]Oxy-15-Butan-2-Yl-19,25,27,29-Tetrahydroxy-17,21-Dioxo-16,31-Dioxabicyclo[25.3.1]Hentriaconta-4,6,8,10,12-Pentaene-30-Carboxylic Acid
别名 (6Z,10Z)-3-[(2R,3S,4S,5S,6R)-4-Amino-3,5-Dihydroxy-6-Methyloxan-2-Yl]Oxy-15-Butan-2-Yl-19,25,27,29-Tetrahydroxy-17,21-Dioxo-16,31-Dioxabicyclo[25.3.1]Hentriaconta-4,6,8,10,12-Pentaene-30-Carboxylic Acid; (6E,10Z)-3-[(2R,3S,4S,5S,6R)-4-Amino-3,5-Dihydroxy-6-Methyl-Tetrahydropyran-2-Yl]Oxy-19,25,27,29-Tetrahydroxy-17,21-Dioxo-15-Sec-Butyl-16,31-Dioxabicyclo[25.3.1]Hentriaconta-4,6,8,10,12-Pentaene-30-Carboxylic Acid; (6Z,10Z)-3-[(2R,3S,4S,5S,6R)-4-Amino-3,5-Dihydroxy-6-Methyl-Tetrahydropyran-2-Yl]Oxy-19,25,27,29-Tetrahydroxy-17,21-Dioxo-15-Sec-Butyl-16,31-Dioxabicyclo[25.3.1]Hentriaconta-4,6,8,10,12-Pentaene-30-Carboxylic Acid
分子结构 CAS 登录号:128808-63-9, (6E,10Z)-3-[(2R,3S,4S,5S,6R)-4-氨基-3,5-二羟基-6-甲基四氢吡喃-2-基]氧基-15-丁烷-2-基-19,25,27,29-四羟基-17,21-二氧代-16,31-二氧杂双环[25.3.1]三十一碳-4,6,8,10,12-五烯-30-羧酸
分子式 C40H61NO14
分子量 779.92
CAS 登录号 128808-63-9
分子行输入简码 SMILES [C@@H]3(OC\2CC1OC(O)(CC(O)C1C(=O)O)CC(O)CCCC(=O)CC(O)CC(OC(C(CC)C)C\C=C/C=C\C=C/C=C\C=C2)=O)O[C@@H]([C@@H](O)[C@H](N)[C@@H]3O)C
国际化学标识码 InChI 1S/C40H61NO14/c1-4-24(2)31-18-13-11-9-7-5-6-8-10-12-17-29(53-39-37(48)35(41)36(47)25(3)52-39)21-32-34(38(49)50)30(45)23-40(51,55-32)22-27(43)16-14-15-26(42)19-28(44)20-33(46)54-31/h5-13,17,24-25,27-32,34-37,39,43-45,47-48,51H,4,14-16,18-23,41H2,1-3H3,(H,49,50)/b6-5-,9-7-,10-8-,13-11-,17-12-/t24?,25-,27?,28?,29?,30?,31?,32?,34?,35+,36-,37+,39+,40?/m1/s1
国际化学标识检索码 InChIKey QHYNZYOPJOICJB-KKWKNEDVSA-N
市场分析报告
相关产品
2-氨基-3,5-二氯三氟甲苯...  [(1R,2R,3R,4R,5...  10-(4-氨基-3,5-二羟...  (23E,25E,27E,29...  (23E,25E,27E,29...  (14Z,21E,23E,25...  (7E,13E,15E,17E...  (7E,13E,15E,17E...  (3R,4S,7R,11S)-...  (6Z,10Z)-3-[(2R...  (4E,6E,8E,10Z)-...  (3R,7S,10R,11R)...  (3R,7S,10R,11R)...  2-氨基-3,5-二羟基苯甲酸  2-氨基-3,5-二氢-3-[...  2-氨基-3,5-二氢-4H-...  6-氨基-3,5-二氢-4H-...  2-氨基-3,5-二氰基-4-...  2-氨基-3,5-二氰基吡啶  3-O-{(6R)-5-氨基-...