全球化学品在线数据库

双[(S)-(-)-2,2'-双(二苯基膦)-5,5',6,6',7,7',8,8'-八氢-1,1'-联萘基]五氯化二钌 二甲基铵盐 化学品安全技术说明书 (CAS 944451-12-1)

本页面提供 双[(S)-(-)-2,2'-双(二苯基膦)-5,5',6,6',7,7',8,8'-八氢-1,1'-联萘基]五氯化二钌 二甲基铵盐 (CAS 944451-12-1) 的化学品安全技术说明书 (SDS),包括危险性、急救措施、储存与操作要求等信息。用户可免费下载 SDS 文件用于实验室或工业参考。

产品概述

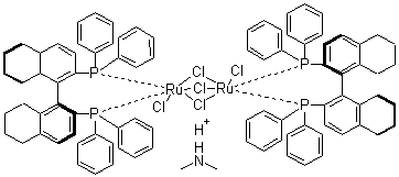
结构式 CAS# 944451-12-1, 双[(S)-(-)-2,2'-双(二苯基膦)-5,5',6,6',7,7',8,8'-八氢-1,1'-联萘基]五氯化二钌 二甲基铵盐
产品名称 双[(S)-(-)-2,2'-双(二苯基膦)-5,5',6,6',7,7',8,8'-八氢-1,1'-联萘基]五氯化二钌 二甲基铵盐
CAS 登录号 944451-12-1
分子式 C88H80Cl5P4Ru2.C2H7N.H
分子量 1686.97
双[(S)-(-)-2,2'-双(二苯基膦)-5,5',6,6',7,7',8,8'-八氢-1,1'-联萘基]五氯化二钌 二甲基铵盐的详细资料
 
资料来源 SDS 样本
Sigma-Aldrich
www.sigmaaldrich.com/catalog/Lookup.do?N5=All&N3=mode+matchpartialmax&N1=S_ID&ST=RS&N25=0&F=PR&D7=0&N4=944451-12-1
浏览或下载
Strem
www.strem.com/uploads/sds/sd44-0517_US.pdf
浏览或下载

免责声明

本页所列之化学品安全技术说明书样本系 chemBlink 公司搜集的互联网公开信息,仅用于指导化学品安全技术说明书的编辑与制作。chemBlink 竭诚提供可靠信息,然而不承诺其完备与准确。 阅读全文...



常见问题 (FAQ)
什么是 SDS?   如何下载 SDS?   SDS 是否免费?   SDS 和 MSDS 有什么区别?



相关化学品安全技术说明书
2-溴-1-[4-(...   5-[(甲基氨基)甲...   5-(吗啉-4-鎓-...   三(mu-氯)双[(...   三(mu-氯)双[(...   (S)-[(RUCL...   [(S)-(-)-2...   [(S)-(-)-2...   [(R)-(+)-2...   [(S)-(+)-2...