全球化学品在线数据库

琼胶六糖醇 化学品安全技术说明书 (CAS 68289-59-8)

本页面提供 琼胶六糖醇 (CAS 68289-59-8) 的化学品安全技术说明书 (SDS),包括危险性、急救措施、储存与操作要求等信息。用户可免费下载 SDS 文件用于实验室或工业参考。

产品概述

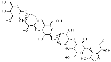
结构式 CAS# 68289-59-8, 琼胶六糖醇
产品名称 琼胶六糖醇
CAS 登录号 68289-59-8
分子式 C36H58O28
分子量 938.83
琼胶六糖醇的详细资料
 
资料来源 SDS 样本
Sigma-Aldrich
www.sigmaaldrich.com/catalog/Lookup.do?N5=All&N3=mode+matchpartialmax&N1=S_ID&ST=RS&N25=0&F=PR&D7=0&N4=68289-59-8
浏览或下载

免责声明

本页所列之化学品安全技术说明书样本系 chemBlink 公司搜集的互联网公开信息,仅用于指导化学品安全技术说明书的编辑与制作。chemBlink 竭诚提供可靠信息,然而不承诺其完备与准确。 阅读全文...



常见问题 (FAQ)
什么是 SDS?   如何下载 SDS?   SDS 是否免费?   SDS 和 MSDS 有什么区别?



相关化学品安全技术说明书
5-氯-2-碘苯胺   (R)-1-(2-甲...   (S)-1-(2-甲...   (S)-1-(2-氟...   (S)-2-氯-al...   2-(3,4-二氟苯...   乙蒜素   唑尼沙胺   唑尼沙胺钠   溶剂红 179