全球化学品在线数据库

1,1'-[2-[[(2-氨基乙氧基)羟基亚膦酰]氧基]-1,3-丙烷二基]十六烷酸酯 化学品安全技术说明书 (CAS 67303-93-9)

本页面提供 1,1'-[2-[[(2-氨基乙氧基)羟基亚膦酰]氧基]-1,3-丙烷二基]十六烷酸酯 (CAS 67303-93-9) 的化学品安全技术说明书 (SDS),包括危险性、急救措施、储存与操作要求等信息。用户可免费下载 SDS 文件用于实验室或工业参考。

产品概述

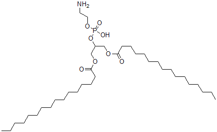
结构式 CAS# 67303-93-9, 1,1'-[2-[[(2-氨基乙氧基)羟基亚膦酰]氧基]-1,3-丙烷二基]十六烷酸酯
产品名称 1,1'-[2-[[(2-氨基乙氧基)羟基亚膦酰]氧基]-1,3-丙烷二基]十六烷酸酯
CAS 登录号 67303-93-9
分子式 C37H74NO8P
分子量 691.96
1,1'-[2-[[(2-氨基乙氧基)羟基亚膦酰]氧基]-1,3-丙烷二基]十六烷酸酯的详细资料
 
资料来源 SDS 样本
Sigma-Aldrich
www.sigmaaldrich.com/catalog/Lookup.do?N5=All&N3=mode+matchpartialmax&N1=S_ID&ST=RS&N25=0&F=PR&D7=0&N4=67303-93-9
浏览或下载
Cayman
www.caymanchem.com/msdss/15093m.pdf
浏览或下载

免责声明

本页所列之化学品安全技术说明书样本系 chemBlink 公司搜集的互联网公开信息,仅用于指导化学品安全技术说明书的编辑与制作。chemBlink 竭诚提供可靠信息,然而不承诺其完备与准确。 阅读全文...



常见问题 (FAQ)
什么是 SDS?   如何下载 SDS?   SDS 是否免费?   SDS 和 MSDS 有什么区别?



相关化学品安全技术说明书
二氯[三(2-甲基苯...   N,N',N''-三...   4-溴-3,5-二甲...   4-苄基氧基羰基氨基...   1,3,4,6-四-...   西玛通   2-(2-吡啶基)乙...   5-甲基-4-异恶唑...   苯锈啶   D-苯丙氨酸