全球化学品在线数据库

莱苞迪甙 D 化学品安全技术说明书 (CAS 63279-13-0)

本页面提供 莱苞迪甙 D (CAS 63279-13-0) 的化学品安全技术说明书 (SDS),包括危险性、急救措施、储存与操作要求等信息。用户可免费下载 SDS 文件用于实验室或工业参考。

产品概述

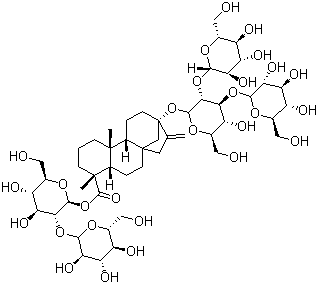
结构式 CAS# 63279-13-0, 莱苞迪甙 D; 瑞鲍迪甙 D
产品名称 莱苞迪甙 D
CAS 登录号 63279-13-0
分子式 C50H80O28
分子量 1129.17
莱苞迪甙 D的详细资料
 
资料来源 SDS 样本
Sigma-Aldrich
www.sigmaaldrich.com/catalog/Lookup.do?N5=All&N3=mode+matchpartialmax&N1=S_ID&ST=RS&N25=0&F=PR&D7=0&N4=63279-13-0
浏览或下载

免责声明

本页所列之化学品安全技术说明书样本系 chemBlink 公司搜集的互联网公开信息,仅用于指导化学品安全技术说明书的编辑与制作。chemBlink 竭诚提供可靠信息,然而不承诺其完备与准确。 阅读全文...



常见问题 (FAQ)
什么是 SDS?   如何下载 SDS?   SDS 是否免费?   SDS 和 MSDS 有什么区别?



相关化学品安全技术说明书
1-氨基-3-(3-...   1-氨基-3-(4-...   L-天门冬氨酸二苄酯...   2-吗啉基-2-苯基...   四溴苯酐   4-溴-1-萘磺酰氯   1-溴-4-碘萘   四碘邻苯二甲酸酐   1-(9-溴菲-3-...   骨化二醇