全球化学品在线数据库

Ruthenium 520DN 化学品安全技术说明书 (CAS 502693-09-6)

本页面提供 Ruthenium 520DN (CAS 502693-09-6) 的化学品安全技术说明书 (SDS),包括危险性、急救措施、储存与操作要求等信息。用户可免费下载 SDS 文件用于实验室或工业参考。

产品概述

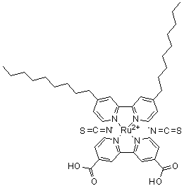
结构式 CAS# 502693-09-6, Ruthenium 520DN
产品名称 Ruthenium 520DN
CAS 登录号 502693-09-6
分子式 C42H50N6O4RuS2.2H
分子量 870.10
Ruthenium 520DN的详细资料
 
资料来源 SDS 样本
Sigma-Aldrich
www.sigmaaldrich.com/catalog/Lookup.do?N5=All&N3=mode+matchpartialmax&N1=S_ID&ST=RS&N25=0&F=PR&D7=0&N4=502693-09-6
浏览或下载
TCI
www.spectrumchemical.com/MSDS/TCI-B4373.pdf
浏览或下载

免责声明

本页所列之化学品安全技术说明书样本系 chemBlink 公司搜集的互联网公开信息,仅用于指导化学品安全技术说明书的编辑与制作。chemBlink 竭诚提供可靠信息,然而不承诺其完备与准确。 阅读全文...



常见问题 (FAQ)
什么是 SDS?   如何下载 SDS?   SDS 是否免费?   SDS 和 MSDS 有什么区别?



相关化学品安全技术说明书
3,4,5-三羟基苯...   3-(3-噻吩基)-...   4-(2,3-环氧丙...   5-(2-甲基苄基)...   植酮   1H-吡咯-2-甲酰...   2,4,6-三氯-5...   (2E,4E,6E,...   雌三醇   (羟基甲基)-氨基甲...