全球化学品在线数据库

(9,9-双十二烷基-9H-芴-2,7-二基)二硼酸 化学品安全技术说明书 (CAS 480424-86-0)

本页面提供 (9,9-双十二烷基-9H-芴-2,7-二基)二硼酸 (CAS 480424-86-0) 的化学品安全技术说明书 (SDS),包括危险性、急救措施、储存与操作要求等信息。用户可免费下载 SDS 文件用于实验室或工业参考。

产品概述

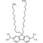
结构式 CAS# 480424-86-0, (9,9-双十二烷基-9H-芴-2,7-二基)二硼酸
产品名称 (9,9-双十二烷基-9H-芴-2,7-二基)二硼酸
CAS 登录号 480424-86-0
分子式 C37H60B2O4
分子量 590.49
(9,9-双十二烷基-9H-芴-2,7-二基)二硼酸的详细资料
 
资料来源 SDS 样本
Sigma-Aldrich
www.sigmaaldrich.com/catalog/Lookup.do?N5=All&N3=mode+matchpartialmax&N1=S_ID&ST=RS&N25=0&F=PR&D7=0&N4=480424-86-0
浏览或下载
Combi-Blocks
www.combi-blocks.com/msds/BB-8105.pdf
浏览或下载

免责声明

本页所列之化学品安全技术说明书样本系 chemBlink 公司搜集的互联网公开信息,仅用于指导化学品安全技术说明书的编辑与制作。chemBlink 竭诚提供可靠信息,然而不承诺其完备与准确。 阅读全文...



常见问题 (FAQ)
什么是 SDS?   如何下载 SDS?   SDS 是否免费?   SDS 和 MSDS 有什么区别?



相关化学品安全技术说明书
4-乙酰氧基苯硼酸频...   2-叔丁氧羰基氧基苯...   (5S)-5-(羟基...   (5R)-5-(羟基...   (2,3-二氟-4-...   3-乙酰氨基苯基硼酸...   4-甲酰基氨基苯硼酸...   4-[(4-硼酸基苯...   4-(3-羧基丙酰氨...   E-(4-丁基苯基)...