全球化学品在线数据库

Cy7 (Cyanine 7) 化学品安全技术说明书 (CAS 477908-53-5)

本页面提供 Cy7 (Cyanine 7) (CAS 477908-53-5) 的化学品安全技术说明书 (SDS),包括危险性、急救措施、储存与操作要求等信息。用户可免费下载 SDS 文件用于实验室或工业参考。

产品概述

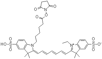
结构式 CAS# 477908-53-5, Cy7 (Cyanine 7)
产品名称 Cy7 (Cyanine 7)
CAS 登录号 477908-53-5
分子式 C39H45N3O10S2
分子量 779.92
Cy7 (Cyanine 7)的详细资料
 
资料来源 SDS 样本
Ambeed
file.ambeed.com/static/upload/prosds/am/787/SDS-A786248.pdf
浏览或下载

免责声明

本页所列之化学品安全技术说明书样本系 chemBlink 公司搜集的互联网公开信息,仅用于指导化学品安全技术说明书的编辑与制作。chemBlink 竭诚提供可靠信息,然而不承诺其完备与准确。 阅读全文...



常见问题 (FAQ)
什么是 SDS?   如何下载 SDS?   SDS 是否免费?   SDS 和 MSDS 有什么区别?



相关化学品安全技术说明书
5-乙氧基-2-(4...   2-氨基-3-溴-5...   2-O-beta-D...   2-(2,5-二甲基...   岩白菜素   N-苄氧羰基-L-天...   [2,2,3,3,4...   2-苯基-喹啉-4-...   1-丁烷硫醇钠   盐酸去甲苯福林