| 产品概述 | |
| |
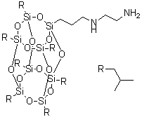
| 产品名称 | N1-[3-[3,5,7,9,11,13,15-七(2-甲基丙基)五环[9.5.1.1(3,9).1(5,15).1(7,13)]八硅氧烷-1-基]丙基]-1,2-乙二胺 |
| CAS 登录号 | 444315-16-6 |
| 分子式 | C33H76N2O12Si8 |
| 分子量 | 917.65 |
| N1-[3-[3,5,7,9,11,13,15-七(2-甲基丙基)五环[9.5.1.1(3,9).1(5,15).1(7,13)]八硅氧烷-1-基]丙基]-1,2-乙二胺的详细资料 | |
| 资料来源 | SDS 样本 |
| Sigma-Aldrich www.sigmaaldrich.com/catalog/Lookup.do?N5=All&N3=mode+matchpartialmax&N1=S_ID&ST=RS&N25=0&F=PR&D7=0&N4=444315-16-6 |
浏览或下载 |
|
免责声明 本页所列之化学品安全技术说明书样本系 chemBlink 公司搜集的互联网公开信息,仅用于指导化学品安全技术说明书的编辑与制作。chemBlink 竭诚提供可靠信息,然而不承诺其完备与准确。 阅读全文... |
|