全球化学品在线数据库

四[N-邻苯二甲酰基-(R)-叔亮氨酸]二铑 化学品安全技术说明书 (CAS 380375-05-3)

本页面提供 四[N-邻苯二甲酰基-(R)-叔亮氨酸]二铑 (CAS 380375-05-3) 的化学品安全技术说明书 (SDS),包括危险性、急救措施、储存与操作要求等信息。用户可免费下载 SDS 文件用于实验室或工业参考。

产品概述

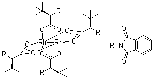
结构式 CAS# 380375-05-3, 四[N-邻苯二甲酰基-(R)-叔亮氨酸]二铑
产品名称 四[N-邻苯二甲酰基-(R)-叔亮氨酸]二铑
CAS 登录号 380375-05-3
分子式 C56H56N4O16Rh2
分子量 1246.87
四[N-邻苯二甲酰基-(R)-叔亮氨酸]二铑的详细资料
 
资料来源 SDS 样本
Ambeed
file.ambeed.com/static/upload/prosds/am/816/SDS-A815629.pdf
浏览或下载

免责声明

本页所列之化学品安全技术说明书样本系 chemBlink 公司搜集的互联网公开信息,仅用于指导化学品安全技术说明书的编辑与制作。chemBlink 竭诚提供可靠信息,然而不承诺其完备与准确。 阅读全文...



常见问题 (FAQ)
什么是 SDS?   如何下载 SDS?   SDS 是否免费?   SDS 和 MSDS 有什么区别?



相关化学品安全技术说明书
4-甲酰基-2-甲氧...   2-氯-N-(4-氯...   2-氯-N-(3-乙...   1,1,2,3,3,...   2-甲基-6-(三氟...   5-溴-2-(四唑-...   2-(1-甲基-5-...   5-溴-2-(2-甲...   4-碘吡啶-2-甲酸...   2-(1H-咪唑-1...