全球化学品在线数据库

表面活性肽 化学品安全技术说明书 (CAS 24730-31-2)

本页面提供 表面活性肽 (CAS 24730-31-2) 的化学品安全技术说明书 (SDS),包括危险性、急救措施、储存与操作要求等信息。用户可免费下载 SDS 文件用于实验室或工业参考。

产品概述

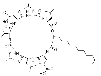
结构式 CAS# 24730-31-2, 表面活性肽
产品名称 表面活性肽
CAS 登录号 24730-31-2
分子式 C53H93N7O13
分子量 1036.36
表面活性肽的详细资料
 
资料来源 SDS 样本
Sigma-Aldrich
www.sigmaaldrich.com/catalog/Lookup.do?N5=All&N3=mode+matchpartialmax&N1=S_ID&ST=RS&N25=0&F=PR&D7=0&N4=24730-31-2
浏览或下载

免责声明

本页所列之化学品安全技术说明书样本系 chemBlink 公司搜集的互联网公开信息,仅用于指导化学品安全技术说明书的编辑与制作。chemBlink 竭诚提供可靠信息,然而不承诺其完备与准确。 阅读全文...



常见问题 (FAQ)
什么是 SDS?   如何下载 SDS?   SDS 是否免费?   SDS 和 MSDS 有什么区别?



相关化学品安全技术说明书
3-哌啶乙酸甲酯盐酸...   四丁基硫酸铵   克林霉素磷酸酯   1-氯壬烷   双氢麦角汀甲磺酸盐   1-氯十一烷   2-环己酮乙酸乙酯   双乙酰乙酰对苯二胺   益母草碱单盐酸盐   乙基2-(溴甲基)烟...