| 产品概述 | |
| |
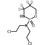
| 产品名称 | N,N-二(2-氯乙基)(4,4,5,5-2H4)-1,3,2-氧氮杂磷杂环己烷-2-胺2-氧化物 |
| CAS 登录号 | 173547-45-0 |
| 分子式 | C7H11D4Cl2N2O2P |
| 分子量 | 265.11 |
| N,N-二(2-氯乙基)(4,4,5,5-2H4)-1,3,2-氧氮杂磷杂环己烷-2-胺2-氧化物的详细资料 | |
| 资料来源 | SDS 样本 |
| Cayman www.caymanchem.com/msdss/22114m.pdf |
浏览或下载 |
|
免责声明 本页所列之化学品安全技术说明书样本系 chemBlink 公司搜集的互联网公开信息,仅用于指导化学品安全技术说明书的编辑与制作。chemBlink 竭诚提供可靠信息,然而不承诺其完备与准确。 阅读全文... |
|