| 产品概述 | |
| |
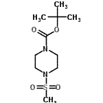
| 产品名称 | 2-甲基-2-丙基4-(甲基磺酰基)-1-哌嗪羧酸酯 |
| CAS 登录号 | 164331-38-8 |
| 分子式 | C10H20N2O4S |
| 分子量 | 264.34 |
| 2-甲基-2-丙基4-(甲基磺酰基)-1-哌嗪羧酸酯的详细资料 | |
| 资料来源 | SDS 样本 |
| Oakwood www.oakwoodchemical.com/ShowMSDS.aspx?Number=075165 |
浏览或下载 |
| Combi-Blocks www.combi-blocks.com/msds/AM-2145.pdf |
浏览或下载 |
|
免责声明 本页所列之化学品安全技术说明书样本系 chemBlink 公司搜集的互联网公开信息,仅用于指导化学品安全技术说明书的编辑与制作。chemBlink 竭诚提供可靠信息,然而不承诺其完备与准确。 阅读全文... |
|