全球化学品在线数据库

2,5-二氮杂螺[3.4]辛烷-5-羧酸叔丁酯半草酸盐 化学品安全技术说明书 (CAS 1630906-60-3)

本页面提供 2,5-二氮杂螺[3.4]辛烷-5-羧酸叔丁酯半草酸盐 (CAS 1630906-60-3) 的化学品安全技术说明书 (SDS),包括危险性、急救措施、储存与操作要求等信息。用户可免费下载 SDS 文件用于实验室或工业参考。

产品概述

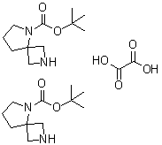
结构式 CAS# 1630906-60-3, 2,5-二氮杂螺[3.4]辛烷-5-羧酸叔丁酯半草酸盐
产品名称 2,5-二氮杂螺[3.4]辛烷-5-羧酸叔丁酯半草酸盐
CAS 登录号 1630906-60-3
分子式 2(C11H20N2O2).C2H2O4
分子量 514.61
2,5-二氮杂螺[3.4]辛烷-5-羧酸叔丁酯半草酸盐的详细资料
 
资料来源 SDS 样本
Ambeed
file.ambeed.com/static/upload/prosds/am/735/SDS-A734597.pdf
浏览或下载

免责声明

本页所列之化学品安全技术说明书样本系 chemBlink 公司搜集的互联网公开信息,仅用于指导化学品安全技术说明书的编辑与制作。chemBlink 竭诚提供可靠信息,然而不承诺其完备与准确。 阅读全文...



常见问题 (FAQ)
什么是 SDS?   如何下载 SDS?   SDS 是否免费?   SDS 和 MSDS 有什么区别?



相关化学品安全技术说明书
2,2,2-三氟-1...   6-甲基-1H-吲哚...   烯丙基苯基碳酸酯   2,4-二甲基-苯甲...   N-[(3-氨基双环...   4-(4-硝基苯氧基...   1,3-噻唑烷-2-...   1-苯基-2-(2-...   2-甲氧基-5-吡啶...   2-甲氧基吡啶基-3...