全球化学品在线数据库

罗汉果黄素 化学品安全技术说明书 (CAS 156980-60-8)

本页面提供 罗汉果黄素 (CAS 156980-60-8) 的化学品安全技术说明书 (SDS),包括危险性、急救措施、储存与操作要求等信息。用户可免费下载 SDS 文件用于实验室或工业参考。

产品概述

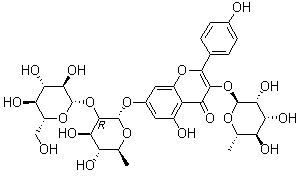
结构式 CAS# 156980-60-8, 罗汉果黄素
产品名称 罗汉果黄素
CAS 登录号 156980-60-8
分子式 C33H40O19
分子量 740.66
罗汉果黄素的详细资料
 
资料来源 SDS 样本
Ambeed
file.ambeed.com/static/upload/prosds/am/894/SDS-A893023.pdf
浏览或下载

免责声明

本页所列之化学品安全技术说明书样本系 chemBlink 公司搜集的互联网公开信息,仅用于指导化学品安全技术说明书的编辑与制作。chemBlink 竭诚提供可靠信息,然而不承诺其完备与准确。 阅读全文...



常见问题 (FAQ)
什么是 SDS?   如何下载 SDS?   SDS 是否免费?   SDS 和 MSDS 有什么区别?



相关化学品安全技术说明书
环己硫醇   吡唑并[1,5-a]...   1,7-二苄基-1,...   5-氨基甲基-2-氨...   异柳叶木兰碱   2-(2-呋喃基)-...   N-[2-(2-溴-...   2-(2-呋喃基)-...   3,4-二(苄氧基)...   (R)-2-甲基吡咯...