全球化学品在线数据库

2-乙酰氨基-2-脱氧-D-(13C6)吡喃葡萄糖 化学品安全技术说明书 (CAS 1194446-34-8)

本页面提供 2-乙酰氨基-2-脱氧-D-(13C6)吡喃葡萄糖 (CAS 1194446-34-8) 的化学品安全技术说明书 (SDS),包括危险性、急救措施、储存与操作要求等信息。用户可免费下载 SDS 文件用于实验室或工业参考。

产品概述

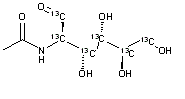
结构式 CAS# 1194446-34-8, 2-乙酰氨基-2-脱氧-D-(13C6)吡喃葡萄糖
产品名称 2-乙酰氨基-2-脱氧-D-(13C6)吡喃葡萄糖
CAS 登录号 1194446-34-8
分子式 C213C6H15NO6
分子量 227.16
2-乙酰氨基-2-脱氧-D-(13C6)吡喃葡萄糖的详细资料
 
资料来源 SDS 样本
TRC
www.trc-canada.com/prod-img/MSDS/A178003MSDS.pdf
浏览或下载

免责声明

本页所列之化学品安全技术说明书样本系 chemBlink 公司搜集的互联网公开信息,仅用于指导化学品安全技术说明书的编辑与制作。chemBlink 竭诚提供可靠信息,然而不承诺其完备与准确。 阅读全文...



常见问题 (FAQ)
什么是 SDS?   如何下载 SDS?   SDS 是否免费?   SDS 和 MSDS 有什么区别?



相关化学品安全技术说明书
5-溴-7-氯-苯并...   2-(苯甲基)-2,...   6-氧代-2,7-二...   4-溴-7-氟苯并呋...   双环[2.2.2]辛...   二氯双[(1,2,3...   恶醚唑   2-氨基-1,5-二...   2-苯基咪唑并[1,...   咪唑并[1,5-a]...