全球化学品在线数据库

(4E,18Z,20Z)-22-乙基-7,11,14,15,28-五羟基-6'-(2-羟基丙基)-5',6,8,10,12,14,16,28,29-九甲基螺[2,26-二氧杂双环[23.3.1]二十九-4,18,20-三烯-27,2'-四氢吡喃]-3,3',9,13-四酮 化学品安全技术说明书 (CAS 110231-34-0)

本页面提供 (4E,18Z,20Z)-22-乙基-7,11,14,15,28-五羟基-6'-(2-羟基丙基)-5',6,8,10,12,14,16,28,29-九甲基螺[2,26-二氧杂双环[23.3.1]二十九-4,18,20-三烯-27,2'-四氢吡喃]-3,3',9,13-四酮 (CAS 110231-34-0) 的化学品安全技术说明书 (SDS),包括危险性、急救措施、储存与操作要求等信息。用户可免费下载 SDS 文件用于实验室或工业参考。

产品概述

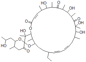
结构式 CAS# 110231-34-0, (4E,18Z,20Z)-22-乙基-7,11,14,15,28-五羟基-6'-(2-羟基丙基)-5',6,8,10,12,14,16,28,29-九甲基螺[2,26-二氧杂双环[23.3.1]二十九-4,18,20-三烯-27,2'-四氢吡喃]-3,3',9,13-四酮
产品名称 (4E,18Z,20Z)-22-乙基-7,11,14,15,28-五羟基-6'-(2-羟基丙基)-5',6,8,10,12,14,16,28,29-九甲基螺[2,26-二氧杂双环[23.3.1]二十九-4,18,20-三烯-27,2'-四氢吡喃]-3,3',9,13-四酮
CAS 登录号 110231-34-0
分子式 C45H72O13
分子量 821.06
(4E,18Z,20Z)-22-乙基-7,11,14,15,28-五羟基-6'-(2-羟基丙基)-5',6,8,10,12,14,16,28,29-九甲基螺[2,26-二氧杂双环[23.3.1]二十九-4,18,20-三烯-27,2'-四氢吡喃]-3,3',9,13-四酮的详细资料
 
资料来源 SDS 样本
Cayman
www.caymanchem.com/msdss/20185m.pdf
浏览或下载

免责声明

本页所列之化学品安全技术说明书样本系 chemBlink 公司搜集的互联网公开信息,仅用于指导化学品安全技术说明书的编辑与制作。chemBlink 竭诚提供可靠信息,然而不承诺其完备与准确。 阅读全文...



常见问题 (FAQ)
什么是 SDS?   如何下载 SDS?   SDS 是否免费?   SDS 和 MSDS 有什么区别?



相关化学品安全技术说明书
盐酸替莫普利   替莫普利   3-(苯基甲氧基)-...   3-(2-吡啶基)环...   二苯基-芘-1-基-...   5-(三氟甲基)-3...   4,4,4-三氟-3...   嘧菌胺   四氢吡喃-4-羧酸甲...   1-(3-beta-...