| 产品概述 | |
| |
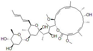
| 产品名称 | (3E,5Z,7R,8S,9S,11Z,13Z,15S,16R)-16-[(3R,4S)-4-[(2R,4R,5S,6R)-4-[(2S,4R,5S,6R)-4,5-二羟基-6-甲基四氢吡喃-2-基]氧基-2-羟基-5-甲基-6-[(1E,3E)-戊-1,3-二烯基]四氢吡喃-2-基]-3-羟基戊烷-2-基]-8-羟基-3,15-二甲氧基-5,7,9,11-四甲基-1-氧杂环十六碳-3,5,11,13-四烯-2-酮 |
| CAS 登录号 | 108375-77-5 |
| 分子式 | C43H68O12 |
| 分子量 | 777.00 |
| (3E,5Z,7R,8S,9S,11Z,13Z,15S,16R)-16-[(3R,4S)-4-[(2R,4R,5S,6R)-4-[(2S,4R,5S,6R)-4,5-二羟基-6-甲基四氢吡喃-2-基]氧基-2-羟基-5-甲基-6-[(1E,3E)-戊-1,3-二烯基]四氢吡喃-2-基]-3-羟基戊烷-2-基]-8-羟基-3,15-二甲氧基-5,7,9,11-四甲基-1-氧杂环十六碳-3,5,11,13-四烯-2-酮的详细资料 | |
| 资料来源 | SDS 样本 |
| Cayman www.caymanchem.com/msdss/20587m.pdf |
浏览或下载 |
|
免责声明 本页所列之化学品安全技术说明书样本系 chemBlink 公司搜集的互联网公开信息,仅用于指导化学品安全技术说明书的编辑与制作。chemBlink 竭诚提供可靠信息,然而不承诺其完备与准确。 阅读全文... |
|