Online Database of Chemicals from Around the World

2-Pentynoyl-Coenzyme A
[CAS 98482-18-9]

Suppliers
CAS#: 98482-18-9
Product: 2-Pentynoyl-Coenzyme A
No suppilers available for the product.
Identification
Name 2-Pentynoyl-Coenzyme A
Synonyms 2-[3-[[(2R)-4-[[[(2R,3S,4R,5R)-5-(6-Aminopurin-9-Yl)-4-Hydroxy-3-Phosphonooxy-Tetrahydrofuran-2-Yl]Methoxy-Hydroxy-Phosphoryl]Oxy-Hydroxy-Phosphoryl]Oxy-2-Hydroxy-3,3-Dimethyl-Butanoyl]Amino]Propanoylamino]Ethylsulfanyl Pent-2-Ynoate; Pent-2-Ynoic Acid [2-
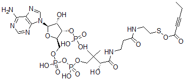
Molecular Structure CAS#: 98482-18-9, 2-Pentynoyl-Coenzyme A
Molecular Formula C26H40N7O18P3S
Molecular Weight 863.62
CAS Registry Number 98482-18-9
SMILES [C@H]1(O[C@@H]([C@@H](O[P](=O)(O)O)[C@H]1O)CO[P](O[P](OCC([C@@H](O)C(=O)NCCC(=O)NCCSOC(=O)C#CCC)(C)C)(=O)O)(=O)O)[N]2C3=C(N=C2)C(=NC=N3)N
InChI 1S/C26H40N7O18P3S/c1-4-5-6-17(35)50-55-10-9-28-16(34)7-8-29-24(38)21(37)26(2,3)12-47-54(44,45)51-53(42,43)46-11-15-20(49-52(39,40)41)19(36)25(48-15)33-14-32-18-22(27)30-13-31-23(18)33/h13-15,19-21,25,36-37H,4,7-12H2,1-3H3,(H,28,34)(H,29,38)(H,42,43)(H,44,
InChIKey HTMHFORBLFDTTA-ZMHDXICWSA-N
Market Analysis Reports
Related Products
Pent-4-Yn-2-Ol;...  3-Pentyn-2-Ol;C...  1-Pentyn-3-ol  4-Pentyn-1-ol  3-Pentyn-2-Ol;3...  2-Pentyn-1-ol  (S)-4-Pentyn-2-...  4-Pentyn-2-ol 4...  Pent-3-Yn-2-One...  1-Pent-4-Ynoxy-...  3-Pentynoylpant...  3-Pentynoyl-S-P...  4-Pentyn-1-Yl A...  1-Pentyn-3-Yl 4...  4-Pentyn-1-yl 2...  4-Pentyn-2-yl 2...  3-Pentyn-1-yl 2...  N-(2-Pentyn-1-y...  4-Pentyn-1-Yl-B...  N-(Pent-4-ynyl)...