Identification
| Name |
1-Desamino-(8-Rhodamine-Lys)-Vasopressin |
| Synonyms |
1-Desamino-(8-Rhodamine-Lysine)Vasopressin; Vasopressin, 1-Desamino-(8-Rhodamine-Lys)-; Vasopressin, 1-Desamino-(8-Rhodamine-Lysine)- |
|
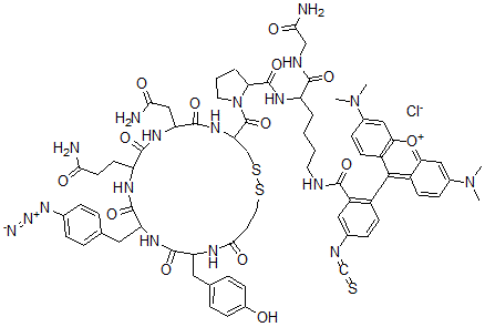
| Molecular Structure |
 |
| Molecular Formula |
C71H83ClN18O14S3 |
| Molecular Weight |
1544.18 |
| CAS Registry Number |
97813-21-3 |
| SMILES |
S=C=NC4=CC(=C(C1=C3C(=[O+]C2=C1C=CC(=C2)N(C)C)C=C(N(C)C)C=C3)C=C4)C(=O)NCCCCC(NC(=O)C5N(CCC5)C(=O)C6NC(=O)C(NC(=O)C(NC(=O)C(NC(=O)C(NC(=O)CCSSC6)CC7=CC=C(O)C=C7)CC8=CC=C(N=[N+]=[N-])C=C8)CCC(=O)N)CC(=O)N)C(=O)NCC(=O)N.[Cl-] |
| InChI |
1S/C71H82N18O14S3.ClH/c1-87(2)43-17-22-47-57(33-43)103-58-34-44(88(3)4)18-23-48(58)63(47)46-21-16-42(78-38-104)32-49(46)64(95)76-27-6-5-8-50(65(96)77-36-61(74)93)81-70(101)56-9-7-28-89(56)71(102)55-37-106-105-29-26-62(94)79-52(30-40-12-19-45(90)20-13-40)6 |
| InChIKey |
UGOOSTHCAAKTAA-UHFFFAOYSA-N |
|