Identification
| Name |
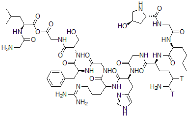
Collagen I, alpha Chain (98-110) |
| Synonyms |
[2-[[(2S)-2-[[(2S)-2-[[2-[[(2S)-2-[[(2S)-2-[[2-[[(2S)-6-Amino-2-[[(2S)-2-[[2-[[(2S,4R)-4-Hydroxypyrrolidine-2-Carbonyl]Amino]Acetyl]Amino]Hexanoyl]Amino]-5,6-Ditritio-Hexanoyl]Amino]Acetyl]Amino]-3-(4H-Imidazol-4-Yl)Propanoyl]Amino]-5-Guanidino-Pentanoyl] |
|
| Molecular Structure |
 |
| Molecular Formula |
C57H89T2N19O16 |
| Molecular Weight |
1302.48 |
| CAS Registry Number |
97653-85-5 |
| SMILES |
[C@@H]1(NC[C@H](O)C1)C(=O)NCC(=O)N[C@@H](CCCC)C(=O)N[C@@H](CCC(C(N)[3H])[3H])C(=O)NCC(=O)N[C@@H](CC2N=CN=C2)C(=O)N[C@@H](CCCN=C(N)N)C(=O)NCC(=O)N[C@@H](CC3=CC=CC=C3)C(=O)N[C@@H](CO)C(=O)NCC(OC(=O)[C@@H](NC(=O)CN)CC(C)C)=O |
| InChI |
1S/C57H91N19O16/c1-4-5-14-38(70-45(80)26-67-51(86)39-22-35(78)25-64-39)53(88)74-36(15-9-10-17-58)49(84)65-28-47(82)72-41(21-34-24-62-31-69-34)55(90)75-37(16-11-18-63-57(60)61)50(85)66-27-46(81)71-40(20-33-12-7-6-8-13-33)54(89)76-43(30-77)52(87)68-29-48(83 |
| InChIKey |
LZCXUJHSTWYBEA-FUYNMKNISA-N |
|