Online Database of Chemicals from Around the World

Dimethylammonium dichlorotri(mu-chloro)bis[(R)-(+)-2,2'-bis(di-p-tolylphosphino)-1,1'-binaphthyl]diruthenate(II)
[CAS 944451-10-9]

List of Suppliers
Sinocompound Catalysts Co., Ltd. China
www.sinocompound.com
+86 (512) 6721-6630
+86 (512) 5631-6689
sales@sinocompound.com
Chemical manufacturer since 2008
chemBlink Standard supplier since 2010

Identification
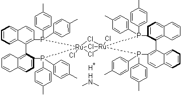
NameDimethylammonium dichlorotri(mu-chloro)bis[(R)-(+)-2,2'-bis(di-p-tolylphosphino)-1,1'-binaphthyl]diruthenate(II)
Molecular StructureDimethylammonium dichlorotri(mu-chloro)bis[(R)-(+)-2,2'-bis(di-p-tolylphosphino)-1,1'-binaphthyl]diruthenate(II) molecular structure (CAS 944451-10-9)
Molecular FormulaC104H96Cl5P4Ru2.C2H7N.H
Molecular Weight1895.27
CAS Registry Number944451-10-9
EC Number693-337-3
Safety Data
Hazard Classification
up    Details
HazardClassCategory CodeHazard Statement
Eye irritationEye Irrit.2H319
Specific target organ toxicity - single exposureSTOT SE3H335
SDSAvailable
Market Analysis Reports
Related Products
Dimethylammoniu...  Dimethylammoniu...  Dimethylammoniu...  Dimethylammoniu...  Dimethylammoniu...  Dimethylammoniu...  Dimethylammoniu...  Dimethylammoniu...  Dimethylammoniu...  Dimethylammoniu...  Dimethylammoniu...  Dimethylammoniu...  Dimethylammoniu...  Dimethylammoniu...  Dimethylammoniu...  Dimethylammoniu...  Dimethylampheta...  N,N-Dimethylamp...  N-(1,4-Dimethyl...  (17beta)-4,17-D...