Online Database of Chemicals from Around the World

(2R,3S,4R,5R)-2,3,4,5,6-Pentahydroxy-N-[3-(octylamino)propyl]hexanamide
[CAS 93980-73-5]

Suppliers
CAS#: 93980-73-5
Product: (2R,3S,4R,5R)-2,3,4,5,6-Pentahydroxy-N-[3-(octylamino)propyl]hexanamide
No suppilers available for the product.
Identification
Name (2R,3S,4R,5R)-2,3,4,5,6-Pentahydroxy-N-[3-(octylamino)propyl]hexanamide
Synonyms N-[3-(octylamino)propyl]-D-gluconamide
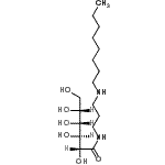
Molecular Structure CAS#: 93980-73-5, (2R,3S,4R,5R)-2,3,4,5,6-Pentahydroxy-N-[3-(octylamino)propyl]hexanamide
Molecular Formula C17H36N2O6
Molecular Weight 364.48
CAS Registry Number 93980-73-5
EINECS 301-053-5
SMILES O[C@H]([C@@H](O)C(=O)NCCCNCCCCCCCC)[C@H](O)[C@H](O)CO
InChI 1S/C17H36N2O6/c1-2-3-4-5-6-7-9-18-10-8-11-19-17(25)16(24)15(23)14(22)13(21)12-20/h13-16,18,20-24H,2-12H2,1H3,(H,19,25)/t13-,14-,15+,16-/m1/s1
InChIKey LOMLQPJYXUWYEH-LVQVYYBASA-N
Properties
Density 1.165g/cm3 (Cal.)
Boiling point 664.455°C at 760 mmHg (Cal.)
Flash point 355.65°C (Cal.)
Market Analysis Reports
Related Products
3,3',4',5,7-Pen...  (2S,3S,4aR,12bR...  (10alpha)-2alph...  (10alpha)-2alph...  1,6,7,8,11-Pent...  (2R,3S,4aR,12bS...  (2R)-3-[(4a,6,8...  (2S,4S,5S)-4-[(...  (2R,3S,4R,5R)-2...  (2R,3S,4R,5R)-2...  (2beta,3beta,5b...  2,3,4,5,6-Penta...  (2,3,4,5,7-Pent...  4,5,6,7,8-Penta...  1-[(1S,2R,3S,4R...  2-[(1S,2S,3R,4S...  (1beta,11beta,1...  (1b,11b,12a,15b...  (14beta,17R)-3b...  3-beta,5,14,19,...