| Alfa Chemistry | USA | |||
|---|---|---|---|---|
![]() | www.alfa-chemistry.com | |||
![]() | +1 (201) 478-8534 | |||
![]() | +1 (516) 927-0118 | |||
![]() | inquiry@alfa-chemistry.com | |||
| Chemical distributor since 2012 | ||||
| chemBlink Standard supplier since 2012 | ||||
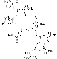
| Name | [1,2-Ethanediylbis[[(phosphonomethyl)imino]-2,1-ethanediyl[(phosphonomethyl)imino]-2,1-ethanediylnitrilobis(methylene)]]tetrakis-phosphonic acid octasodium salt |
|---|---|
| Molecular Structure | ![]() |
| Molecular Formula | C18H44N6O24P8.Na8 |
| Molecular Weight | 1160.28 |
| CAS Registry Number | 93892-80-9 |
| EC Number | 299-567-7 |
| Market Analysis Reports |