|
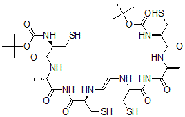
CAS#: 93629-01-7 Product: (N-Tertert-Butyloxycarbonyl-Cysteinyl-Alanyl-Cysteinyl-Methylamide) dimer No suppilers available for the product. |
| Name | (N-Tertert-Butyloxycarbonyl-Cysteinyl-Alanyl-Cysteinyl-Methylamide) dimer |
|---|---|
| Synonyms | Tert-Butyl N-[(1R)-2-[[(1S)-2-[[(2R)-2-[[(E)-2-[[(1R)-2-[[(2S)-2-[[(2R)-2-(Tert-Butoxycarbonylamino)-3-Sulfanyl-Propanoyl]Amino]Propanoyl]Amino]-2-Oxo-1-(Sulfanylmethyl)Ethyl]Amino]Vinyl]Amino]-3-Sulfanyl-Propanoyl]Amino]-1-Methyl-2-Oxo-Ethyl]Amino]-2-Oxo |
| Molecular Structure | ![]() |
| Molecular Formula | C30H52N8O10S4 |
| Molecular Weight | 813.03 |
| CAS Registry Number | 93629-01-7 |
| SMILES | [C@H](C(=O)NC([C@@H](NC([C@@H](NC(=O)OC(C)(C)C)CS)=O)C)=O)(N\C=C\N[C@H](C(=O)NC([C@@H](NC([C@@H](NC(=O)OC(C)(C)C)CS)=O)C)=O)CS)CS |
| InChI | 1S/C30H52N8O10S4/c1-15(33-25(43)19(13-51)35-27(45)47-29(3,4)5)21(39)37-23(41)17(11-49)31-9-10-32-18(12-50)24(42)38-22(40)16(2)34-26(44)20(14-52)36-28(46)48-30(6,7)8/h9-10,15-20,31-32,49-52H,11-14H2,1-8H3,(H,33,43)(H,34,44)(H,35,45)(H,36,46)(H,37,39,41)(H, |
| InChIKey | MIFZWADRSJYAIG-ZYFOSHLLSA-N |
| Density | 1.278g/cm3 (Cal.) |
|---|---|
| Boiling point | 1019.139°C at 760 mmHg (Cal.) |
| Flash point | 570.155°C (Cal.) |
| Market Analysis Reports |